Zum Inhalt

Evaluation and validation of the O-POSSUM score for predicting morbidity and mortality after esophagectomy: a retrospective analysis

  • Open Access
  • 21.03.2025
  • original article
Erschienen in:

Summary

Background

The accuracy of the physiological and operative severity score for the enumeration of mortality adjusted for esophagogastric surgery (O-POSSUM score) is controversial. Therefore, the aim of this study was to validate and evaluate the O‑POSSUM score with regard to its predictive power for mortality and morbidity after esophagectomy.

Methods

Data of 71 patients who underwent Ivor Lewis esophagectomy between 2010 and 2022 in our surgical department were analyzed retrospectively. The predicted mortality was compared with the actual mortality by binary logistic regression, and the morbidity was examined for a correlation between the Clavien–Dindo classification and the O‑POSSUM score.

Results

The observed mortality was 14 times higher than the predicted mortality. Thus, the O‑POSSUM score underpredicted mortality for the patient population. The area under the receiver operating characteristic curve was 0.358 (95% confidence interval 0.055 to 0.660; p = 0.291).

Conclusion

The O‑POSSUM score failed to identify the deceased patients. There is a very slightly positive but statistically nonsignificant correlation between the Clavien–Dindo grade and the O‑POSSUM score. The O‑POSSUM score was not found to be a reliable tool for prediction of morbidity and mortality in this study. The score should be modified or, alternatively, a new score could be invented.

Publisher’s Note

Springer Nature remains neutral with regard to jurisdictional claims in published maps and institutional affiliations.

Introduction

Esophageal cancer ranks among the leading causes of cancer-related deaths globally [13]. Prognostically unfavorable, it carries a high mortality rate [1]. The incidence varies significantly by region, with squamous cell carcinomas being more prevalent worldwide. Esophageal squamous cell carcinoma (ESCC) particularly affects the “Asian esophageal cancer belt.” However, adenocarcinomas have seen a significant rise, particularly in industrialized countries like the USA and parts of Europe [1, 36].
As per the German national treatment guideline for esophageal cancer (S3 guideline), surgical resection stands as a standardized treatment for tumors in the middle and distal thirds of the esophagus, aiming for a cure [7]. Minimally invasive techniques are predominantly recommended, with the guideline favoring either a minimally invasive approach or a hybrid technique combining minimally invasive and open procedures [7, 8]. Nonetheless, even with minimally invasive techniques, surgical resection of esophageal cancer places a burden on patients [7], often leading to postoperative complications [9]. Complications can arise due to accompanying comorbidities and the invasiveness of surgical therapy. Hence, early identification or, preferably, prevention of complications is crucial [7]. The Esophagectomy Complication Consensus Group (ECCG) has identified common complications, with pulmonary issues like pneumonia (14.6%) and cardiac complications such as atrial arrhythmias (14.5%) being frequent, along with gastrointestinal complications, notably anastomotic insufficiencies (11.4%) [9, 10]. These complications, particularly anastomotic insufficiencies, can lead to severe outcomes such as mediastinitis, peritonitis, and sepsis, thereby increasing morbidity and mortality [10, 11].
Given the inherent risks of surgery and the potential consequences of postoperative complications, preoperative risk assessment is paramount. Since esophageal cancer is often diagnosed late and carries a poor prognosis, careful evaluation is necessary to determine when surgery is justified. Equally important is identifying cases where the risks outweigh the benefits, warranting alternative treatment options. A reliable means of risk–benefit assessment is desirable, with various scoring systems available for this purpose. One such system, recommended by the German S3 guideline for esophageal and gastric interventions, is the physiological and operative severity score for the enumeration of mortality adjusted for esophagogastric surgery (O-POSSUM score) [7, 12, 13]. The literature presents differing perspectives on the O‑POSSUM score. While some authors consider it a precise and useful tool [12, 14], others believe it overpredicts mortality [13, 15, 16]. Furthermore, other scoring systems such as the International Esodata Study Group (IESG) risk prediction and the Fuchs score exist, offering simple preoperative risk scales for counseling prior to surgery. However, none of the scores are currently recommended nationally. Therefore, the aim of this study is to validate and assess the predictive power of the O‑POSSUM score regarding mortality and morbidity following esophagectomy.

Methods

Study population and study design

Of 171 patients who underwent Ivor Lewis esophagectomy between 2010 and 2022 at the University Hospital Oldenburg (Klinikum Oldenburg) in the Department of General and Visceral Surgery, 71 were included in this retrospective study after excluding incomplete datasets.
All histological types of esophageal cancer were included in the analysis (squamous cell carcinoma, adenocarcinoma, and undifferentiated carcinoma). Incomplete data such that the O‑POSSUM score could not be generated were excluded. Variables that were collected more than 6 months before the operation were also excluded, as recent values should be used wherever possible.

O-POSSUM score

The O‑POSSUM score is a scoring system used for preoperative risk analysis in esophageal surgery. The score contains physical components and surgical components. The physical variables include age, age group, pre-existing cardiac conditions, and pre-existing respiratory conditions, as well as electrocardiogram (ECG) changes, systolic blood pressure, pulse rate, and the Glasgow Coma Scale. Laboratory values are also included: the hemoglobin value, the number of leukocytes, the urea value, the sodium value, and the potassium value. Operative variables of the score are the surgical procedure, the urgency of the operation (classified as emergency or elective), and malignancy [14, 17].

Statistical analysis

Demographic variables such as gender, age, and tumor histology were collected, along with the surgical procedure, type of surgery, TNM stage, and the Clavien–Dindo grade. The O‑POSSUM score was calculated for the 71 patients included in the study, and mortality probability was determined based on the score using a calculator [17]. The primary endpoint considered was 30-day mortality. Binary logistic regression was used to compare mortality predicted by the O‑POSSUM score with the observed mortality. Goodness of fit was assessed using the Hosmer–Lemeshow test. A receiver operating characteristic curve (ROC curve) was constructed, and the area under the curve (AUC) was determined.
To investigate morbidity, complications were categorized according to the morbidity scale of Dindo and colleagues. Kendall’s tau was employed to assess the relationship between the points allotted by the O‑POSSUM score and the Clavien–Dindo classification. Clavien–Dindo grades were further divided into minor complications (grade I–IIIa) and major complications (grade IIIb-V), with Kendall’s tau used to test for an association between minor and major complications and the O‑POSSUM score [13, 18].
Data were obtained from the clinical database of the University Department of General and Visceral Surgery, Oldenburg Hospital. Approval from the Ethics Committee of the University of Oldenburg was obtained (approval number: AZ 2022-118). Statistical analysis was performed using IBM SPSS Statistics version 29.0 (IBM Corp., Armonk, NY, USA).

Results

Patient demographics

The patient population consisted of 56 men (78.9%) and 15 women (21.1%). The average age was 62 years (range 41–83 years). A large proportion of patients (59; 83.1%) had adenocarcinoma, 11 (15.5%) had squamous cell carcinoma, and in one case (1.4%), the tumor histology was undifferentiated. While 41 patients underwent open surgery, 29 underwent laparoscopic-assisted surgery and one case was converted from laparoscopic to open surgery. All surgical procedures were elective; there were no emergencies. Most patients had T2 or T3 stage according to the TNM classification. Lymph nodes were affected in 39 patients, and metastases were present in one patient undergoing surgery for recurrent tumor-bleeding. Most of the patients had an R0 resection. While 24 patients had no neoadjuvant therapy, 31 received chemotherapy and 16 combined radiochemotherapy. The characteristics of the 71 patients included in the study are shown in Table 1.
Table 1
Demographic data of the examined patient collective
 
Subcategory
Frequency (n)
Frequency (%)
Sex
Male
56
78.9
Female
15
21.1
Age in years
Mean value (SD)
62.49 (9309)
Median (IQR)
64.00 (15)
Minimum
41
Maximum
83
Histology
Adenocarcinoma
59
83.1
Squamous cell carcinoma
11
15.5
Undifferentiated
1
1.4
TNM
T
T1
6
8.5
T1b
5
7.0
T2
18
25.4
T2–3
5
7.0
T3
36
50.7
T3–4
1
1.4
N
N0
32
45.1
N1
15
21.1
N2
3
4.2
N3
1
1.4
N +
20
28.2
M
M0
70
98.6
M1
1
1.4
Neoadjuvant therapy
No therapy
24
33.8
CTX
31
43.7
RCTX
16
22.5
Resection margins
R0
70
98.6
R1
1
1.4
Operation type
Esophagectomy
71
100.0
Surgical procedure
Open surgery
41
57.7
Laparoscopic-assisted
29
40.8
Converted (laparoscopic to open)
1
1.4
Clavien–Dindo grade
I
37
52.9
II
16
22.9
IIIa
4
5.7
IIIb
3
4.3
IVa
3
4.3
IVb
2
2.9
V
5
7.1
SD Standard Deviation, IQR Interquartile Range, CTX Chemotherapy, RCTX Radiochemotherapy

O-POSSUM score for the patient collective

The frequencies of the individual parameters of the O‑POSSUM score for the studied patient collective are shown in Table 2 for the physiological parameters and in Table 3 for the operative parameters. A large proportion of patients (41; 57.8%) had previous cardiac disease, 23 patients (32.4%) showed abnormal electrocardiography (ECG) findings, and 22 patients (31%) had a respiratory history. Most patients had values in the systolic blood pressure and pulse rate categories within normal ranges. Hemoglobin levels, leukocyte count, and sodium and potassium levels were within the normal ranges in most patients, while urea levels were slightly elevated in the majority. The mean O‑POSSUM score was 22.3 points (standard deviation 7.094), the minimum was 12 points, and the maximum was 47 points (median 21 points). The distribution of the O‑POSSUM score for the studied patient collective is shown in Fig. 1.
Table 2
Physiological parameters of the physiological and operative severity score for the enumeration of mortality adjusted for esophagogastric surgery (O-POSSUM score) of the examined patient collective
Physiological parameters
Frequency (n)
Frequency (%)
 
Age rangea
<61 years old
29
40.8
61–70 years old
29
40.8
70 years old
13
18.3
Cardiac signs
No cardiac failure
30
42.3
Diuretics, digoxin, antianginal, or antihypertensive therapy
19
26.8
Peripheral oedema, warfarin, borderline cardiomyopathy
18
25.4
Raised JVP, cardiomegaly
4
5.6
Respiratory signs
No dyspnea
49
69.0
Dyspnea on exertion, mild COAD
12
16.9
Limiting dyspnea, moderate COAD
7
9.9
Dyspnea at rest, pulmonary fibrosis/consolidation on x‑ray
3
4.2
Electrocardiography
ECG normal
48
67.6
ECG = AF, rate 60–90
5
7.0
ECG = any other abnormal rhythm, > 4/min ectopics, Q waves, ST/T changes
18
25.4
Systolic pressure (mmHg)
110–130
36
50.7
100–109 or 131–170
33
46.5
>170 or 90–99
2
2.8
<90
0
0.0
Pulse rate (beats/min)
50–80
48
67.6
40–49 or 81–100
18
25.4
101–120
3
4.2
<40 or > 120
2
2.8
Hemoglobin (g/dl)
13–16
24
33.8
12.9–12.9 or 16.1–17
28
39.4
10–11.4 or 17.1–18
12
16.9
<10 or > 18
7
9.9
White blood cell count (×109/L)
4–10
60
84.5
10.1–20 or 3.1–4
10
14.1
>20 or < 3
1
1.4
Urea (mmol/L)
<7.6
8
11.3
7.6–10
20
28.2
10.1–15
28
39.4
>15
15
21.1
Sodium (mmol/L)
<7.6
62
87.3
7.6–10
6
8.5
10.1–15
2
2.8
>15
1
1.4
Potassium (mmol/L)
3.5–5
67
94.4
3.2–3.4 or 5.1–5.3
4
5.6
2.9–3.1 or 5.4–5.9
0
0.0
<2.9 or > 5.9
0
0.0
Glasgow Coma Scale
15
71
100.0
a Actual age of the examined patient collective is shown in Table 1
JVP jugular venous pressure, COAD chronic obstructive airway disease, AF atrial fibrillation
Table 3
Operative parameters of the physiological and operative severity score for the enumeration of mortality adjusted for esophagogastric surgery (O-POSSUM score) of the examined patient collective
Operative parameters
Frequency (n)
Frequency (%)
 
Operation type
Esophagectomy
71
100.0
Malignancy status
Not malignant
0
0.0
Primary malignancy only
31
43.7
Malignancy and nodal metastasis
39
54.9
Malignancy and distant metastasis
1
1.4
Urgency
Elective
71
100.0
Emergency (within 2 h)
0
0.0
Fig. 1
Distribution of the physiological and operative severity score for the enumeration of mortality adjusted for esophagogastric surgery (O-POSSUM score) for the examined patient collective
Bild vergrößern

Calculated and observed mortality

Mortality predicted by the O‑POSSUM score averaged 0.503%. The minimum calculated mortality was 0.2% and the maximum was 3.1% (median 0.4%). The actual mortality was 7% (5 out of 71 patients). Thus, the observed mortality was significantly higher (about 14 times) than the predicted mortality. Figure 2 illustrates the percentage of patients who actually died and who did not in relation to the calculated mortality value. It should be noted that the calculated mortality rates are in a very low range; the highest calculated value is 3.1%. Therefore, the O‑POSSUM score did not predict a particularly high mortality probability for any patient case. Binary logistic regression analysis indicated that the model is not significant (p = 0.599; χ2 = 0.276). The Hosmer–Lemeshow test showed a significance of 0.303. Thus, the goodness of fit of the test is sufficient. Ninety-three percent of the patients were assigned according to their observed mortality by the model. Of the 66 patients who did not die, all were correctly classified, whereas the five who died were all misclassified.
Fig. 2
Actual deceased in relation to the calculated mortality for the examined patient collective
Bild vergrößern
The ROC curve of the examined patient group is located below the diagonal one. The AUC is 0.358. Consequently, the O‑POSSUM score was worse at predicting mortality than chance. The result is not statistically significant (95% confidence interval 0.055–0.660; p = 0.291). Figure 3 shows the ROC curve.
Fig. 3
Receiver operating characteristic curve of the examined patient collective
Bild vergrößern

Morbidity of the patient collective

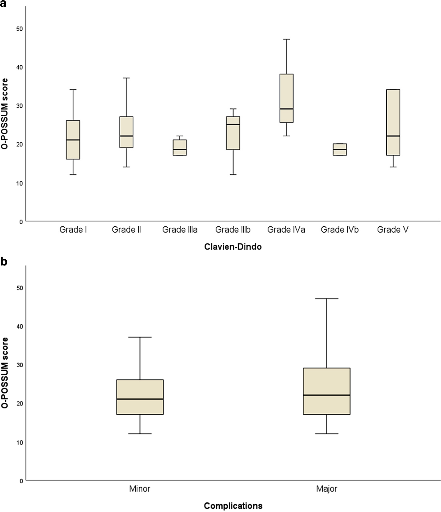
Kendall’s tau, which examined the relationship between Clavien–Dindo grade and the O‑POSSUM score, yielded a correlation of 0.089. Thus, there is a positive correlation, but it is very small. The result is not statistically significant (p = 0.339). Figure 4a illustrates the correlation between the O‑POSSUM score and the grade according to Clavien–Dindo. Kendall’s tau to test for an association between minor and major complications and the O‑POSSUM score yielded a correlation of 0.093. This is also a very low correlation, and the result is not statistically significant (p = 0.360). Figure 4b presents the relationship between minor and major complications and the O‑POSSUM score.
Fig. 4
a Correlation between the height of the physiological and operative severity score for the enumeration of mortality adjusted for esophagogastric surgery (O-POSSUM score) and the grade according to Clavien–Dindo for the examined patients; b Correlation between the O‑POSSUM score and minor or major complications for the examined patients
Bild vergrößern

Discussion

Several studies have concluded that the O‑POSSUM score overpredicts mortality [13, 15, 16]. However, in this study, the actual mortality was significantly higher (14 times higher) than that predicted by the O‑POSSUM score. Consequently, the O‑POSSUM score underpredicted mortality for the patient population examined in this study. Overall, 93% of patients were correctly assigned by the regression model according to their observed mortality: all those who did not die were correctly classified, and those who did die were all misclassified. Thus, the O‑POSSUM score failed to identify any of the deceased patients. These findings are consistent with the study conducted by Lagarde et al., who also concluded that the O‑POSSUM score could not identify the deceased [13]. The ROC curve generated in this analysis indicates that the O‑POSSUM score was worse than chance at predicting mortality. In the literature, ROC curves usually have an AUC >0.5, indicating that the prediction of risk is better than chance [13, 14]. The fact that the ROC curve in this analysis is below the diagonal may be related, among other factors, to the limited number of patients.
When examining the correlation between the Clavien–Dindo grade and the O‑POSSUM score as well as between minor and major complications and the O‑POSSUM score, a slightly positive but statistically nonsignificant correlation was found. S.M. Lagarde et al. were also unable to demonstrate differences between the individual risk groups and the occurrence of minor or major complications in their study [13].
This study found that the O‑POSSUM score is not a reliable means of predicting morbidity and mortality in patients undergoing esophagectomy. There are now several different preoperative risk scoring systems available, such as the preoperative esophagectomy risk score (PER score), the risk score developed by Schröder et al., the International Esodata Study Group (IESG) risk prediction model, the index developed by Hodari et al., and the risk scale invented by Fuchs et al. However, some of them have yet to be independently validated [1923]. It seems likely that one of these scoring systems will be proven more suitable for preoperative risk prediction for esophagogastric surgery than the O‑POSSUM score. In particular, the risk scale developed by Fuchs et al. seems promising. However, it should be checked whether it is also valid in other Western European countries, as the study by Fuchs et al. rather represents the patient collective of the United States [23].
Limitations of the study include the fact that it is a retrospective data analysis. In addition, there could be an information bias. Moreover, the study is limited to a specific time period (2010–2022) and was conducted at a single center, thus allowing for only a limited number of patients (n = 71) to be studied.
It can be concluded that the O‑POSSUM score was not found to be a reliable tool for preoperative prediction of morbidity and mortality in this study. The score failed to identify deceased patients and should be modified. Alternatively, another preoperative risk assessment could undergo validation studies, such as the risk scale according to Fuchs et al., or a new score could be developed. There is still no scoring system that has been validated, proven reliable in its predictive power, and undergone testing in clinical practice. A reliable scoring system would be an asset for the treatment team and also for patients. There is definitely still a need for research in this area and the aim of developing such a scoring system and establishing it in clinical practice should be pursued further.

Declarations

Conflict of interest

C. Pfann, M. Bockhorn, S. Miftode, F. Alfarawan, and N. El-Sourani and declare that they have no competing interests.

Ethical standards

All procedures performed in studies involving human participants or on human tissue were in accordance with the ethical standards of the institutional and/or national research committee and with the 1975 Helsinki declaration and its later amendments or comparable ethical standards. Ethical review and approval were waived for this study due to the utilization of anonymous data (Ethics Committee of the University of Oldenburg; AZ 2022-118). Patient consent was waived due to the utilization of anonymous data (reviewed and approved by the Ethics Committee of the University of Oldenburg; AZ 2022-118).
Open Access This article is licensed under a Creative Commons Attribution 4.0 International License, which permits use, sharing, adaptation, distribution and reproduction in any medium or format, as long as you give appropriate credit to the original author(s) and the source, provide a link to the Creative Commons licence, and indicate if changes were made. The images or other third party material in this article are included in the article’s Creative Commons licence, unless indicated otherwise in a credit line to the material. If material is not included in the article’s Creative Commons licence and your intended use is not permitted by statutory regulation or exceeds the permitted use, you will need to obtain permission directly from the copyright holder. To view a copy of this licence, visit http://creativecommons.org/licenses/by/4.0/.

Publisher’s Note

Springer Nature remains neutral with regard to jurisdictional claims in published maps and institutional affiliations.

Unsere Produktempfehlungen

Abo für kostenpflichtige Inhalte

download
DOWNLOAD
print
DRUCKEN
Titel
Evaluation and validation of the O-POSSUM score for predicting morbidity and mortality after esophagectomy: a retrospective analysis
Verfasst von
Carolin Pfann
Maximilian Bockhorn
Sorin Miftode
Fadl Alfarawan
Nader El-Sourani, MD PhD
Publikationsdatum
21.03.2025
Verlag
Springer Vienna
Erschienen in
European Surgery / Ausgabe 3/2025
Print ISSN: 1682-8631
Elektronische ISSN: 1682-4016
DOI
https://doi.org/10.1007/s10353-025-00860-7
1.
Zurück zum Zitat Uhlenhopp DJ, Then EO, Sunkara T, Gaduputi V. Epidemiology of esophageal cancer: update in global trends, etiology and risk factors. Clin J Gastroenterol. 2020;13(6):1010–21. https://doi.org/10.1007/s12328-020-01237-x.CrossRefPubMed
2.
Zurück zum Zitat Abbas G, Krasna M. Overview of esophageal cancer. Ann Cardiothorac Surg. 2017;6(2):131–6. https://doi.org/10.21037/acs.2017.03.03.CrossRefPubMedPubMedCentral
3.
Zurück zum Zitat Napier KJ, Scheerer M, Misra S. Esophageal cancer: A Review of epidemiology, pathogenesis, staging workup and treatment modalities. World J Gastrointest Oncol. 2014;6(5):112–20. https://doi.org/10.4251/wjgo.v6.i5.112.CrossRefPubMedPubMedCentral
4.
Zurück zum Zitat Ösophaguskarzinom. Leitlinie [ICD-10 C15, Empfehlungen der Fachgesellschaft zur Diagnostik und Therapie hämatologischer und onkologischer Erkrankungen https://www.onkopedia.com/de/onkopedia/guidelines/oesophaguskarzinom/@@guideline/html/index.html. Accessed 12 Oct 2023.
5.
Zurück zum Zitat Zhang H‑Z, Jin G‑F, Shen H‑B. Epidemiologic differences in esophageal cancer between Asian and Western populations. Chin J Cancer. 2012;31(6):281–6. https://doi.org/10.5732/cjc.011.10390.CrossRefPubMedPubMedCentral
6.
Zurück zum Zitat Domper Arnal MJ, Ferrández Arenas Á, Lanas Arbeloa Á. Esophageal cancer: Risk factors, screening and endoscopic treatment in Western and Eastern countries. World J Gastroenterol. 2015;21(26):7933–43. https://doi.org/10.3748/wjg.v21.i26.7933.CrossRefPubMedPubMedCentral
7.
Zurück zum Zitat S3-Leitlinie Diagnostik und Therapie der Plattenepithelkarzinome und Adenokarzinome des Ösophagus https://www.leitlinienprogramm-onkologie.de/fileadmin/user_upload/Downloads/Leitlinien/Oesophaguskarzinom/Version_3/LL_%C3%96sophaguskarzinom_Langversion_3.1.pdf. Accessed 12 Oct 2023.
8.
Zurück zum Zitat Vincke A, Miftode S, Alfarawan F, Bockhorn M, El-Sourani N. Hybrid Minimally Invasive Esophagectomy vs. Open Esophagectomy: A Retrospective Propensity Score Matched Comparison. Med (kaunas). 2023; https://doi.org/10.3390/medicina59030434.CrossRef
9.
Zurück zum Zitat Low DE, Kuppusamy MK, Alderson D, Cecconello I, Chang AC, Darling G, et al. Benchmarking Complications Associated with Esophagectomy. Ann Surg. 2019;269(2):291–8. https://doi.org/10.1097/SLA.0000000000002611.CrossRefPubMed
10.
Zurück zum Zitat Loske G, Hornoff S, Mende M, Müller C, Faiss S. Postoperative Leckagen im Gastrointestinaltrakt – Diagnostik und Therapie. Gastroenterologe. 2022;17(1):47–56. https://doi.org/10.1007/s11377-021-00584-6.CrossRefPubMedPubMedCentral
11.
Zurück zum Zitat El-Sourani N, Miftode S, Alfarawan F, Troja A, Bockhorn M. Risk Factors and Effect of Intrathoracic Anastomotic Leakage after Esophagectomy for Underlying Malignancy—A Ten-Year Analysis at a Tertiary University Centre. Clin Pract. 2022;12(5):782–7. https://doi.org/10.3390/clinpract12050081.CrossRefPubMedPubMedCentral
12.
Zurück zum Zitat Hoeppner J, Plum PS, Buhr H, Gockel I, Lorenz D, Ghadimi M, et al. Chirurgische Therapie des Ösophaguskarzinoms – Qualitätsindikatoren für Diagnostik und Therapie. Chirurg. 2021;92(4):350–60. https://doi.org/10.1007/s00104-020-01267-8.CrossRefPubMed
13.
Zurück zum Zitat Lagarde SM, Maris AKD, de Castro SMM, Busch ORC, Obertop H, van Lanschot JJB. Evaluation of O‑POSSUM in predicting in-hospital mortality after resection for oesophageal cancer. Br J Surg. 2007;94(12):1521–6. https://doi.org/10.1002/bjs.5850.CrossRefPubMed
14.
Zurück zum Zitat Tekkis PP, McCulloch P, Poloniecki JD, Prytherch DR, Kessaris N, Steger AC. Risk-adjusted prediction of operative mortality in oesophagogastric surgery with O‑POSSUM. Br J Surg. 2004;91(3):288–95.CrossRefPubMed
15.
Zurück zum Zitat Nagabhushan JS, Srinath S, Weir F, Angerson WJ, Sugden BA, Morran CG. Comparison of P‑POSSUM and O‑POSSUM in predicting mortality after oesophagogastric resections. Postgrad Med J. 2007;83(979):355–8. https://doi.org/10.1136/pgmj.2006.053223.CrossRefPubMedPubMedCentral
16.
Zurück zum Zitat Lai F, Kwan TL, Yuen WC, Wai A, Siu YC, Shung E. Evaluation of various POSSUM models for predicting mortality in patients undergoing elective oesophagectomy for carcinoma. Br J Surg. 2007;94(9):1172–8. https://doi.org/10.1002/bjs.5793.CrossRefPubMed
17.
Zurück zum Zitat accessed on 12.10.2023 http://www.riskprediction.org.uk/index-op.php. Accessed Risc Prediction in Surgery: O‑POSSUM Scoring.
18.
Zurück zum Zitat Dindo D, Demartines N, Clavien P‑A. Classification of surgical complications: a new proposal with evaluation in a cohort of 6336 patients and results of a survey. Ann Surg. 2004;240(2):205–13. https://doi.org/10.1097/01.sla.0000133083.54934.ae.CrossRefPubMedPubMedCentral
19.
Zurück zum Zitat Reeh M, Metze J, Uzunoglu FG, Nentwich M, Ghadban T, Wellner U, et al. The PER (Preoperative Esophagectomy Risk) Score: A Simple Risk Score to Predict Short-Term and Long-Term Outcome in Patients with Surgically Treated Esophageal Cancer. Medicine. 2016;95(7):e2724. https://doi.org/10.1097/MD.0000000000002724.CrossRefPubMedPubMedCentral
20.
Zurück zum Zitat Schröder W, Bollschweiler E, Kossow C, Hölscher AH. Preoperative risk analysis—a reliable predictor of postoperative outcome after transthoracic esophagectomy? Langenbecks Arch Surg. 2006;391(5):455–60. https://doi.org/10.1007/s00423-006-0067-z.CrossRefPubMed
21.
Zurück zum Zitat D’Journo XB, Boulate D, Fourdrain A, Loundou A, van Berge Henegouwen MI, Gisbertz SS, et al. Risk Prediction Model of 90-Day Mortality After Esophagectomy for Cancer. JAMA Surg. 2021;156(9):836–45. https://doi.org/10.1001/jamasurg.2021.2376.CrossRefPubMedPubMedCentral
22.
Zurück zum Zitat Hodari A, Hammoud ZT, Borgi JF, Tsiouris A, Rubinfeld IS. Assessment of morbidity and mortality after esophagectomy using a modified frailty index. Ann Thorac Surg. 2013;96(4):1240–5. https://doi.org/10.1016/j.athoracsur.2013.05.051.CrossRefPubMed
23.
Zurück zum Zitat Fuchs HF, Harnsberger CR, Broderick RC, Chang DC, Sandler BJ, Jacobsen GR, et al. Simple preoperative risk scale accurately predicts perioperative mortality following esophagectomy for malignancy. Dis Esophagus. 2017;30(1):1–6. https://doi.org/10.1111/dote.12451.CrossRefPubMed