Zum Inhalt

Evaluating antifungal prophylaxis strategies in pediatric acute myeloid leukemia: a retrospective, single-center analysis of amphotericin B, itraconazole, and voriconazole

  • Open Access
  • 15.04.2025
  • original report
Erschienen in:

Summary

Purpose

Invasive fungal disease (IFD) represents a major cause of morbidity and mortality in pediatric patients with acute myeloid leukemia (AML) undergoing intensive chemotherapy treatment. While primary antifungal prophylaxis is known to reduce the incidence of IFD, data on pediatric AML patients are sparse. This study assessed the usage and outcomes of antifungal prophylaxis in this high-risk group, contributing to the limited data available on pediatric AML.

Material and methods

We conducted a retrospective analysis of 394 cycles of antifungal prophylaxis in 92 pediatric patients with de novo AML at our center. Prophylaxis included amphotericin B derivatives (n = 139), itraconazole (n = 107), or voriconazole (n = 148), reflecting varied clinical choices over the study period.

Results

At least one adverse event was observed in 93% of cycles with antifungal prophylaxis. Most patients experienced only low-grade toxicity, and there was no life-threatening adverse event. Creatinine increase, potassium loss, and episodes with vomiting were significantly more frequent with amphotericin B prophylaxis. Discontinuation of antifungal prophylaxis due to an adverse event was necessary in 3% of cycles. The observed incidence of IFD was 7% across the patient cohort, with no significant difference between drugs. No IFD-related death was reported.

Conclusion

Our analysis highlights a reasonable balance between tolerability and efficacy of antifungal prophylaxis in pediatric AML patients. While the incidence of IFD aligns with previous reports, our cohort demonstrated notably lower mortality. This retrospective audit supports the continued use of voriconazole for its lower associated toxicity, providing a valuable reference for antifungal management in pediatric AML settings.

Publisher’s Note

Springer Nature remains neutral with regard to jurisdictional claims in published maps and institutional affiliations.
AE
Adverse event
AFP
Antifungal prophylaxis
ALT
Aspartate aminotransferase
AmB
Native amphotericin B
AML
Acute myeloid leukemia
ANC
absolute neutrophil count
BFM
Berlin–Frankfurt–Münster
CNS
Central nervous system
CTCAE
US National Cancer Institute’s Common Terminology Criteria for Adverse Events
ECG
Electrocardiogram
IFD
Invasive fungal disease
L‑AmB
Liposomal amphotericin B
n
Number
n. s.
Not significant
PCR
Polymerase chain reaction
SD
Standard deviation

Introduction

Acute myeloid leukemia (AML) accounts for 20% of pediatric leukemia. Advances in chemotherapy and supportive care have significantly improved outcomes over recent decades [1]. However, treatment-related prolonged neutropenia increases the risk of severe infections. Other contributing factors include age, invasive procedures, broad-spectrum antibiotics, prior fungal exposure or concomitant bacterial infection [2, 3].
Invasive fungal disease (IFD), particularly invasive aspergillosis, presents a substantial risk of morbidity and mortality, with reported incidence rates ranging from 3% to 20% [3, 4]. Diagnostic challenges and treatment delays contribute to high mortality rates (20–70%; [4, 5]). Therefore, current European guidelines recommend primary antifungal prophylaxis (AFP) for all pediatric AML patients [5, 6].
Common AFP agents include amphotericin B (AmB), itraconazole, and voriconazole, and have proven effective in adults [7, 8]. However, pediatric-specific data on safety, tolerability, and pharmacokinetics remain sparse [9, 10].
This retrospective analysis aimed to document the use of AmB (native and liposomal), itraconazole, and voriconazole as primary AFP during post-chemotherapeutic neutropenia in pediatric AML patients, primarily focusing on reevaluating the safety, tolerability, and practicality of these drugs in a clinical setting. Additionally, it explored the effectiveness of these antifungal agents in preventing invasive fungal diseases as part of routine care.

Methods

Study design and patient population

A single-center retrospective analysis was conducted of 97 pediatric patients (49 males, 48 females) with de novo AML treated at St. Anna Children’s Hospital, Austria, between October 1998 and January 2023. Overall, 92 patients (95%) received at least one AFP cycle with AmB, itraconazole, or voriconazole. Eligibility required an AML diagnosis treated under the AML-BFM protocols [11, 12]. Exclusions included patients receiving no AFP (n = 3), alternative AFP (n = 1), or those with a prior history of IFD (n = 1).
Local protocols for AFP were continually adapted to reflect emerging options. AmB was the primary prophylactic agent until 2004, when liposomal AmB (L-AmB), itraconazole, and voriconazole became available. Itraconazole use ceased due to poor bioavailability and limited availability of oral solutions. Since 2018, L‑AmB and voriconazole have been primarily used. Patient treatment occurred in one of two oncological wards, where a specific protocol was followed: One ward adopted novel supportive treatments, while the other adhered to established practices, in the case that two prophylactic regimens were available simultaneously. The allocation of antifungal drugs was based on the admitting ward, ensuring equitable treatment across two wards.
Parental or patient informed consent for data registration and follow-up was obtained in accordance with local laws and regulations. This retrospective study was conducted in line with the Declaration of Helsinki and was approved by the Ethics Committee of the Medical University of Vienna, Austria (EK Nr.: 1761/2017).

Assessment of antifungal prophylaxis

Antifungal prophylaxis was initiated after chemotherapy at the onset of severe neutropenia (absolute neutrophil count [ANC] ≤ 0.5 g/L) and continued until neutrophil recovery or the next chemotherapy course.
AmB was administered at 1 mg/kg/day and L‑AmB at 3 mg/kg/day, both intravenously on alternate days. Itraconazole was administered at 5 mg/kg/day and voriconazole at 4–8 mg/kg twice a day with a maximum daily dosage of 400 mg, both orally. Therapeutic drug monitoring for azoles was inconsistently performed due to limited availability and therefore not evaluated in this study.

Assessment of safety and tolerability

The study focused on agent-specific adverse events (AEs) reported in the literature. The observation period for AEs was defined as the time from AFP initiation until the next chemotherapy cycle, the switch to another agent, or the start of antifungal treatment. The observation period was restricted to intensive chemotherapy only.
Clinical and laboratory AEs were graded according to the US National Cancer Institute’s Common Terminology Criteria for Adverse Events (CTCAE v 5.0). Infusion-related reactions were recorded but not graded.
Renal toxicity, assessed through serum potassium and creatinine levels, and hepatotoxicity, evaluated using ALT and total bilirubin levels, were documented. Electrocardiograms (ECGs) for the evaluation of QTc prolongation were not routinely performed initially but were later conducted prior to the start of the next chemotherapy course or in response to clinical abnormalities, with patients still receiving AFP at these times.

Assessment of efficacy

Successful AFP was defined as the absence of treatment switches or discontinuation due to AEs. All patients under prophylaxis were monitored for clinical, laboratory, or radiological changes indicative of IFD.
Diagnostic measures were initiated according to pediatric guidelines for patients with persistent febrile neutropenia (fever ≥ 38.0 °C for 1 h or a single temperature ≥ 38.5 °C) combined with low neutrophil counts (ANC ≤ 0.5 g/L), unresponsive to broad-spectrum antibiotics after 96 h, or showing any clinical sign consistent with IFD. The diagnostic workup included chest radiographs, high-resolution computed tomography scans, and magnetic resonance imaging of cranial and sinus regions to exclude CNS and sinus involvement [5, 13]. There was no standardized policy on the use of biomarkers during the early phase of the study due to limited availability. However, with the introduction of broad-spectrum fungal PCR and galactomannan tests, these methods were incorporated into routine diagnostic procedures. Whenever possible, samples for culture and histology were collected from suspected infection sites. The diagnosis of invasive fungal infection was made based on international consensus criteria, classifying IFD as probable or proven [14, 15].
Empirical antifungal treatment, initiated at clinical suspicion of IFD, or preemptive antifungal therapy, guided by early biomarkers or imaging findings suggestive of IFD, were initiated according to standard guidelines [5, 6].

Supportive care

All patients received Pneumocystis jirovecii prophylaxis with trimethoprim-sulfamethoxazole three times per week, oral non-absorbable AmB for candida prophylaxis, and paromomycin for enteral decontamination until the end of consolidation.
The use of antibacterial prophylaxis was initially inconsistent. From 2015 onward, systemic antibiotic prophylaxis targeting viridans-group streptococci was administered to patients during neutropenia [16]. As part of standard supportive measures, patients were nursed in single rooms, provided with a low-bacterial diet, and placed in protective isolation with high-efficiency particulate air filtration during phases of profound neutropenia.

Statistical analysis

Descriptive data are presented as percentages for categorical variables and as means with standard deviations (SD) and interquartile ranges for continuous variables. All statistical analyses were conducted using R (R Core Team, 2023) [17]. A two-sided p value below 0.05 was considered statistically significant.

Results

Patient demographics and baseline characteristics

In total, 92 patients with de novo AML were included in this analysis (Table 1). The median age was 8.8 years (range: 0.1–17.9 years). The patients received a total of 394 AFP cycles, using AmB (n = 139; 35%), itraconazole (n = 107; 27%), or voriconazole (n = 148; 38%).
Table 1
Characteristics of 394 cycles of antifungal prophylaxis
 
Amphotericin B
Itraconazole
Voriconazole
Numbers of cycles with antifungal prophylaxis
139
107
148
Age at diagnosis (median, range)
8.4 years (0.1–17.8 years)
6.8 years (0.5–17.9 years)
12.4 years (1.1–17.6 years)
Duration of prophylaxis per cycle (median, range)
31 days (17–113 days)
32.5 days (9–107 days)
31 days (20–85 days)
Duration of leukopenia with WBC <1g/L per cycle (median, range)
17 days (1–41 days)
14 days (1–48 days)
15 days (1–75 days)
Duration of neutropenia with ANC <0.5g/L per cycle (median, range)
22 days (1–41 days)
12 days (1–13 days)
20 days (1–43 days)
Invasive fungal disease (chemotherapy course at onset of IFD)
Proven IFD
4 (2 HAM, 1 AI/2-CDA, 1 HAE)
0
1 (AI/2-CDA)
Probable IFD
0
1 (AI)
0
Death due to IFD
0
0
0
ANC absolute neutrophil count, IFD invasive fungal disease, HAM high-dose cytarabine (3 g/m2) and mitoxantrone, AI cytarabine and idarubicin, 2‑CDA 2-chlordesoxyadenosin, HAE high-dose cytarabine and etoposide

Safety and tolerability of antifungal prophylaxis

Adverse events occurred in 93% (365/394) of AFP cycles, predominantly ALT increase, diarrhea, hypokalemia, and vomiting, without a statistically significant superiority of any agent (Table 2). Most AEs were of grade 1 and 2 severity (81%).
Table 2
Distribution of severity of adverse events for each antifungal prophylactic agent
Drug-related adverse events
Amphotericin (AmB)
(n = 139)
Itraconazole (I)
(n = 107)
Voriconazole (V)
(n = 148)
Total
(n = 394)
p
(AmB/I; AmB/V; I/V)
Cycles with ≥ 1 adverse event
134/139 (96)
99/107 (93)
132/148 (89)
365/394 (93)
n. s.
Increased creatinine
34/139 (24)
7/107 (7)
3/148 (2)
44/394 (11)
p < 0.01; p < 0.01; n. s.
Grades 1 and 2
34 (24)
7 (7)
3 (2)
44 (11)
Grades 3 and 4
0
0
0
0
Increased ALT
75/139 (54)
70/107 (65)
114/148 (77)
259/394 (66)
n. s.
Grades 1 and 2
65 (47)
58 (54)
92 (62)
215 (55)
Grades 3 and 4
10 (7)
12 (11)
22 (15)
44 (11)
Increased bilirubin
7/103 (7)
9/75 (12)
9/87 (10)
25/265 (9)
n. s.
Grades 1 and 2
7 (7)
9 (12)
8 (9)
24 (9)
Grades 3 and 4
0
0
1 (1)
1 (< 1)
Hypokalemia
74/139 (53)
42/107 (39)
45/148 (30)
161/394 (41)
p < 0.01; p < 0.01; n. s.
Grades 1 and 2
44 (32)
30 (28)
29 (20)
103 (26)
Grades 3 and 4
30 (22)
12 (11)
16 (11)
58 (15)
Vomiting
77/139 (55)
26/107 (24)
43/148 (29)
146/394 (37)
p < 0.05; p < 0.01; n. s.
Grades 1 and 2
65 (47)
24 (22)
40 (27)
129 (33)
Grades 3 and 4
12 (9)
2 (2)
3 (2)
17 (4)
Diarrhea
83/139 (60)
64/107 (60)
72/148 (49)
219/394 (56)
n. s.
Grades 1 and 2
62 (45)
50 (47)
59 (40)
171 (43)
Grades 3 and 4
21 (15)
14 (13)
13 (9)
48 (12)
QTc prolongation
2/79 (3)
3/63 (5)
13/106 (12)
18/248 (7)
n. s.
Grades 1 and 2
2 (3)
2 (3)
13 (12)
17 (7)
Grades 3 and 4
0
1 (2)
0
1 (< 1)
CNS toxicity
0
0
0
0
n. s.
Grades 1 and 2
0
0
0
0
Grades 3 and 4
0
0
0
0
Grading according to the CTCAE 5.0 criteria, excluding infusion-related reaction. No. of cycles/total number of documented cycles (%) are shown for all adverse event types.
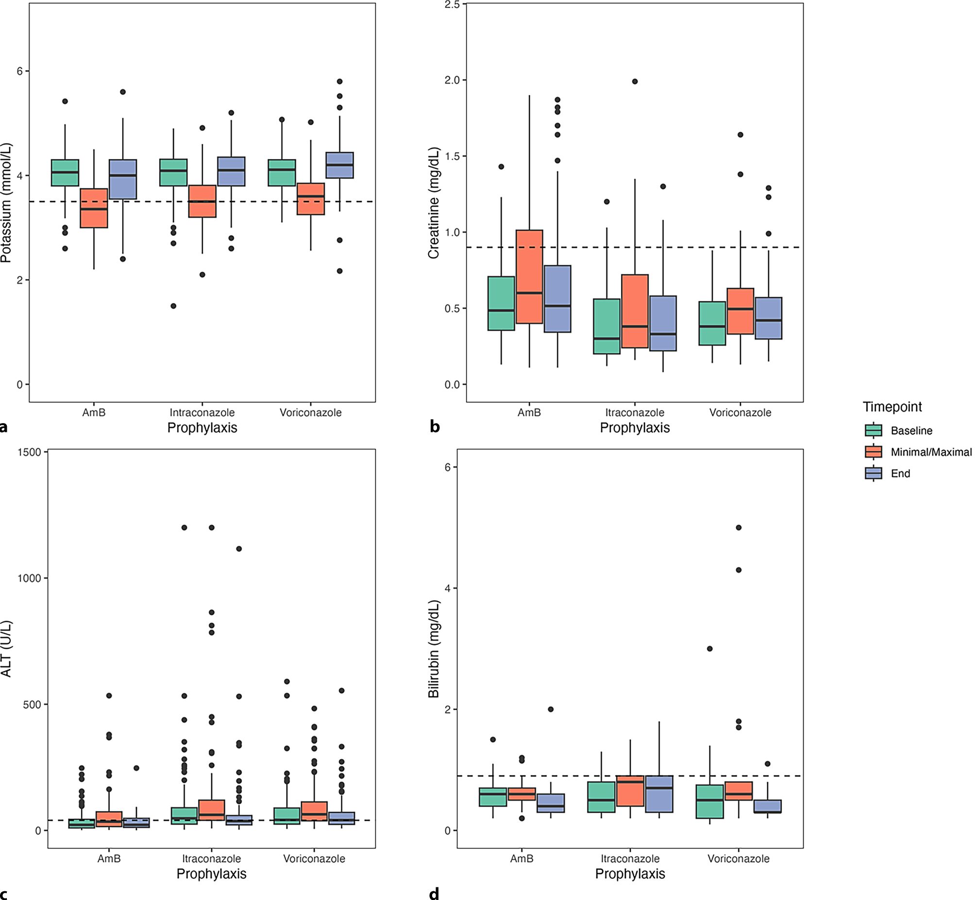
AmB was associated with higher nephrotoxicity (hypokalemia and creatinine increase) than the triazoles (p < 0.01). Potassium substitution was required in 33% (46/139) of AmB cycles, significantly more often than for triazoles (p < 0.05; Fig. 1). Vomiting was more common with AmB (p < 0.05).
Fig. 1
Effect of different agents on relevant blood panel parameters throughout prophylaxis phases. Potassium and creatinine increase for nephrotoxicity and ALT and bilirubin increase representing hepatotoxicity are shown on the day before the start of a new cycle with oral antifungal prophylaxis (green columns), minimum values for potassium as well as maximum values during the cycle for creatinine, ALT and bilirubin (red columns) and after the end of a cycle (blue columns). a Potassium (normal > 3.4 mmol/L). b Creatinine (normal < 0.9 mg/dL). c Serum alanine aminotransferase (ALT; normal < 49 U/L). d Total bilirubin (normal < 0.9 mg/dL). The horizontal line indicates the limit of normal. Statistical analysis of minimum/maximum laboratory parameters by using ANOVA showed a significant decrease in potassium and a significant increase in creatinine comparing amphotericin B with itraconazole and voriconazole (p < 0.01 for each). No difference was seen regarding hepatotoxicity comparing all three agents
Bild vergrößern
Among different formulations of AmB (AmB: n = 77; L‑AmB: n = 62), no significant difference was observed in the toxicity profile. Infusion-related reactions were observed in 12% (16/139) of AmB cycles. These reactions included fever (n = 7), chills (n = 5), gastrointestinal symptoms (n = 2), and rash (n = 2).
There was no significant difference in the incidence of hepatotoxicity (increased ALT and bilirubin) across the three cohorts. Additionally, there was no significant difference in episodes of diarrhea, QTc prolongation, or CNS toxicity among the groups.

Efficacy of antifungal prophylaxis

Discontinuation of antifungal prophylaxis

Discontinuation of AFP occurred in 7% of cycles (AmB: n = 14; itraconazole: n = 6; voriconazole: n = 6).
Discontinuation of AFP due to AEs occurred in 3% (12/394 cycles): Seven AmB cycles were discontinued due to increased serum creatinine, and two cycles were discontinued due to infusion-related reactions. In two cycles with voriconazole, prophylaxis was discontinued because of ALT increase, and in one itraconazole cycle, severe gastrointestinal irritation led to discontinuation.
In 4% of cycles (AmB: n = 5; itraconazole: n = 5; voriconazole: n = 4), no reason for discontinuation could be determined retrospectively.
Statistical analysis revealed no significant differences in the rates of discontinuation across the three groups.

Empirical or preemptive antifungal treatment

Switch to empirical or preemptive antifungal treatment was initiated in 24% of cycles (94/394 cycles) due to suspected fungal infection (AmB: n = 37; itraconazole: n = 34; voriconazole: n = 23). Statistical analysis indicated that the transition to antifungal treatment was significantly less frequent in the voriconazole cohort compared to those on AmB and itraconazole (p < 0.01 and p < 0.05, respectively).

Invasive fungal infections

Overall, the incidence of proven or probable IFD was 7% (6/92 patients), with five cases of proven IFD and one case of probable IFD. The incidence for AmB was 3% (4/139 cycles: AmB: n = 2, L‑AmB: n = 2), and less than 1% for triazoles (itraconazole: 1/107 cycles; voriconazole: 1/148 cycles). There was no statistical difference in incidences according to the prophylaxis group.
In all cases of proven IFD, Aspergillus spp. was identified as the causative pathogen, affecting the lungs exclusively (Table 3). All cases were detected between 1999 and 2007, with no subsequent cases registered thereafter. No IFD-related deaths were documented during the study period.
Table 3
Characteristics and diagnostic procedures performed on patients with invasive fungal disease
 
Pat. no. 1
Pat. no. 2
Pat. no. 3
Pat. no. 4
Pat. no. 5
Pat. no. 6
Sex/age (years)
f/9.9
m/6.8
f/8.2
m/11.1
f/10.4
f/12.9
Year of diagnosis
1999
2000
2001
2002
2003
2007
Prophylaxis
L‑AmB
I
AmB
L‑AmB
AmB
V
IFD type
Proven
Probable
Proven
Proven
Proven
Proven
Infection site
Lung
Pathogen
Aspergillus spp.
Imaging
CT
Biomarker
GM
Positive (S)
n.p.
Positive (S, BAL)
n.p.
Negative (S)
n.p.
PCR
n.p.
n.p.
n.p.
n.p.
n.p.
n.p.
BAL
n.p.
Positive (hyphae)
Positive (AG)
n.p.
n.p.
Positive (hyphae)
Histopathology
Positive (surgery)
n.p.
Positive (surgery)
Positive (surgery)
Positive (surgery)
Positive (surgery)
Outcome IFD
CR
CR
CR
CR
CR
CR
Outcome
CR
Death unrelated to IFD
CR
Death unrelated to IFD
CR
Death unrelated to IFD
Pat. no. patient number, f female, m male, L‑AmB liposomal amphotericin B, AmB native amphotericin B, I itraconazole, V voriconazole, IFD invasive fungal disease, CT computer tomography, GM galactomannan, AG antigen, PCR polymerase chain reaction, S serum, BAL bronchoalveolar lavage, n.p. not performed, CR complete remission

Discussion

Invasive fungal infections represent a major cause of morbidity and mortality in pediatric patients with AML [35]. Despite advances in supportive care and new antifungal drugs, the risk of infection-related complications justifies AFP [46]. While adult studies have demonstrated efficacy and low AEs for several antifungal agents [7, 8], pediatric data remain scarce [9, 10]. This retrospective study reviewed the use of AmB, itraconazole, and voriconazole in 92 pediatric patients with AML during intensive chemotherapy, with a focus on safety and feasibility.
Our center achieved a high prophylaxis rate, with 95% of patients receiving primary prophylaxis, surpassing rates reported by other centers [1821]. Throughout the study period, AFP practices followed evolving local and international guidelines, reflecting the dynamic nature of antifungal therapy.
The majority of patients experienced mild, manageable clinical and laboratory AEs. No life-threatening AEs were observed, and the discontinuation rate due to drug-related AEs was less than 5%, consistent with other clinical trials [1821].
Clinically relevant AEs in the AmB group included infusion-related reactions, nephrotoxicity, and vomiting, in line with previous studies. Hypokalemia, mostly mild but reversible, required potassium substitution in one-third of AmB cycles. Renal impairment has been shown to be a limiting factor for the use of AmB as prophylaxis [22, 23]. In this study, seven cases of AmB discontinuation were attributed to elevated serum creatinine, which resolved in all instances. No significant differences were observed between native and liposomal AmB formulations, possibly due to sample size limitations.
Adverse events were also frequent in both triazole groups. Contrary to previous studies, no significant hepatotoxicity or gastrointestinal complications occurred [18, 21, 24, 25]. Visual disturbances or neurological symptoms, reported in up to 30% of patients on voriconazole in other studies, were not noted in this cohort [24, 25]. This might reflect under-reporting. Compared to others, this study found no significant QTc prolongation in the voriconazole group [26].
Unresolved febrile neutropenia was the primary reason for AFP discontinuation, with switches to antifungal treatment occurring less frequently in the voriconazole group compared to AmB or itraconazole.
Invasive fungal disease was diagnosed in 7% of patients, a rate comparable to or slightly lower than other studies [3, 4, 26]. There was no statistical difference in IFD incidence across prophylaxis groups. While we could not demonstrate superior efficacy for any agent, voriconazole use coincided with a period after 2008 during which no further IFDs were observed, despite similar treatment intensity. No IFD-related deaths occurred during the study.
Despite the availability of newer generations of azoles for AFP, voriconazole and itraconazole remain recommended for patients under 13 according to applicable guidelines [5, 6]. This study underscores the need for tolerability and safety data. Posaconazole, though promising and recommended for patients over 13 years, was not available during this study. Echinocandins, recommended as first-line mold-active AFP for pediatric AML patients [5, 6], are limited by their requirement for daily intravenous administration, making them less suitable for outpatient settings.

Limitations

This study has limitations, including its retrospective design, the changing AFP policy over time, and the limited sample size, which restricted our ability to identify statistically significant differences between AFP groups. Relevant information, such as compliance with oral prophylaxis, may not have been adequately documented. Therapeutic drug monitoring, valuable for pharmacokinetics and drug interactions, was unavailable for most patients.

Conclusion

This retrospective study highlights the favorable safety profile of all three antifungal agents in pediatric AML patients, with low discontinuation rates due to AEs. Voriconazole demonstrated significantly fewer AEs and offers the convenience of oral administration and superior CNS penetration. While efficacy across the three drugs was similar, the advantages of voriconazole make it the preferred choice for antifungal prophylaxis.
Take-home message
Invasive fungal disease is a major cause of morbidity and mortality in pediatric AML patients, particularly during periods of post-chemotherapy neutropenia, justifying the use of primary antifungal prophylaxis. This study demonstrates that amphotericin B, itraconazole, and voriconazole offer comparable efficacy and exhibit favorable safety profiles.

Conflict of interest

A. Cvrtak, H. Boztug, N. Mühlegger, A. Attarbaschi, G. Engstler, W. Friesenbichler and M.N. Dworzak declare that they have no competing interests.
Open Access This article is licensed under a Creative Commons Attribution 4.0 International License, which permits use, sharing, adaptation, distribution and reproduction in any medium or format, as long as you give appropriate credit to the original author(s) and the source, provide a link to the Creative Commons licence, and indicate if changes were made. The images or other third party material in this article are included in the article's Creative Commons licence, unless indicated otherwise in a credit line to the material. If material is not included in the article's Creative Commons licence and your intended use is not permitted by statutory regulation or exceeds the permitted use, you will need to obtain permission directly from the copyright holder. To view a copy of this licence, visit http://​creativecommons.​org/​licenses/​by/​4.​0/​.

Publisher’s Note

Springer Nature remains neutral with regard to jurisdictional claims in published maps and institutional affiliations.

Unsere Produktempfehlungen

Abo für kostenpflichtige Inhalte

download
DOWNLOAD
print
DRUCKEN
Titel
Evaluating antifungal prophylaxis strategies in pediatric acute myeloid leukemia: a retrospective, single-center analysis of amphotericin B, itraconazole, and voriconazole
Verfasst von
Anna Cvrtak, MD
Heidrun Boztug, MD
Nora Mühlegger, Mag.
Andishe Attarbaschi, MD
Gernot Engstler, MD
Waltraud Friesenbichler, MD
Michael N. Dworzak
Publikationsdatum
15.04.2025
Verlag
Springer Vienna
Erschienen in
memo - Magazine of European Medical Oncology / Ausgabe 2/2025
Print ISSN: 1865-5041
Elektronische ISSN: 1865-5076
DOI
https://doi.org/10.1007/s12254-025-01033-8
1.
Zurück zum Zitat Rasche M, Zimmermann M, Borschel L, Bourquin JP, Dworzak M, Klingebiel T, Lehrnbecher T, Creutzig U, Klusmann JH, Reinhardt D. Successes and challenges in the treatment of pediatric acute Myeloid leukemia: a retrospective analysis of the AML-BFM trials from 1987 to 2012. Leukemia. 2018;32:2167–77. https://​doi.​org/​10.​1038/​s41375-018-0071-7.CrossRefPubMedPubMedCentral
2.
Zurück zum Zitat Løhmann DJA, Asdahl PH, Abrahamsson J, Ha SY, Jónsson ÓG, Kaspers GJL, Koskenvuo M, Lausen B, De Moerloose B, Palle J, et al. Associations between neutrophil recovery time, infections and relapse in pediatric acute myeloid leukemia. Pediatr Blood Cancer. 2018;65:1–8. https://​doi.​org/​10.​1002/​pbc.​27231.CrossRef
3.
Zurück zum Zitat Sung L, Lange BJ, Gerbing RB, Alonzo TA, Feusner J, Dc W. Microbiologically documented infections and infection-related mortality in children with acute myeloid leukemia. Blood. 2009;110:3532–9. https://​doi.​org/​10.​1182/​blood-2007-05-091942.CrossRef
4.
Zurück zum Zitat Pana ZD, Roilides E, Warris A, Groll AH, Zaoutis T. Epidemiology of invasive fungal disease in children. J Pediatric Infect Dis Soc. 2017;6:S3–S11. https://​doi.​org/​10.​1093/​jpids/​pix046.CrossRefPubMedPubMedCentral
5.
Zurück zum Zitat Groll AH, Pana D, Lanternier F, Mesini A, Ammann RA, Averbuch D, Castagnola E, Cesaro S, Engelhard D, Garcia-Vidal C, et al. 8th European conference on infections in leukaemia: 2020 guidelines for the diagnosis, prevention, and treatment of invasive fungal diseases in Paediatric patients with cancer or post-Haematopoietic cell transplantation. Lancet Oncol. 2021;22:e254–e69. https://​doi.​org/​10.​1016/​S1470-2045(20)30723-3.CrossRefPubMed
6.
Zurück zum Zitat Lehrnbecher T, Fisher BT, Phillips B, Beauchemin M, Carlesse F, Castagnola E, Duong N, Dupuis LL, Fioravantti V, Groll AH, et al. Clinical practice guideline for systemic antifungal prophylaxis in pediatric patients with cancer and hematopoietic stem-cell transplantation recipients. J Clin Oncol. 2020;38:3205–16. https://​doi.​org/​10.​1200/​JCO.​20.​00158.CrossRefPubMedPubMedCentral
7.
Zurück zum Zitat Mattiuzzi GN, Estey E, Raad I, Giles F, Cortes J, Shen Y, Kontoyiannis D, Koller C, Munsell M, Beran M, et al. Liposomal Amphotericin B versus the combination of fluconazole and Itraconazole as prophylaxis for invasive fungal infections during induction: chemotherapy for patients with acute Myelogenous leukemia and Myelodysplastic syndrome. Cancer. 2003;97:450–6. https://​doi.​org/​10.​1002/​cncr.​11094.CrossRefPubMed
8.
Zurück zum Zitat Ananda-Rajah MR, Grigg A, Downey MT, Bajel A, Spelman T, Cheng A, Thursky KT, Vincent J, Slavin MA. Comparative clinical effectiveness of prophylactic voriconazole/posaconazole to fluconazole/Itraconazole in patients with acute myeloid leukemia/Myelodysplastic syndrome undergoing Cytotoxic chemotherapy over a 12-year period. Haematologica. 2012;97:459–63. https://​doi.​org/​10.​3324/​haematol.​2011.​051995.CrossRefPubMedPubMedCentral
9.
Zurück zum Zitat Watt K, Benjamin DK, Cohen-Wolkowiez M. Pharmacokinetics of antifungal agents in children. Early Hum Dev. 2011;87:61–5. https://​doi.​org/​10.​1038/​jid.​2014.​371.CrossRef
10.
Zurück zum Zitat Stockmann C, Way C, City SL. Pharmacokinetics and pharmacodynamics of Antifungals in children and their clinical implications. Clin Pharmacokinet. 2014;53:429–54. https://​doi.​org/​10.​1007/​s40262-014-0139-0.​Pharmacokinetics​.CrossRefPubMedPubMedCentral
11.
Zurück zum Zitat Creutzig U, Zimmermann M, Lehrnbecher T, Graf N, Hermann J, Niemeyer CM, Reiter A, Ritter J, Dworzak M, Stary J, et al. Less toxicity by optimizing chemotherapy, but not by addition of granulocyte colony-stimulating factor in children and adolescents with acute Myeloid leukemia: results of AML-BFM 98. J Clin Oncol. 2006;24:4499–506. https://​doi.​org/​10.​1200/​JCO.​2006.​06.​5037.CrossRefPubMed
12.
Zurück zum Zitat Creutzig U, Zimmermann M, Bourquin J‑P, Dworzak MN, Fleischhack G, Graf N, Klingebiel T, Kremens B, Lehrnbecher T, von Neuhoff C, et al. Randomized trial comparing liposomal daunorubicin with Idarubicin as induction for pediatric acute myeloid leukemia: results from study AML-BFM 2004. Blood. 2013;122:37–43. https://​doi.​org/​10.​1182/​blood-2013-02-484097.CrossRefPubMed
13.
Zurück zum Zitat Lehrnbecher T, Robinson P, Fisher B, Alexander S, Ammann RA, Beauchemin M, Carlesse F, Groll AH, Haeusler GM, Santolaya M, et al. Guideline for the management of fever and neutropenia in children with cancer and hematopoietic stem-cell transplantation recipients: 2017 update. J Clin Oncol. 2017;35:2082–94. https://​doi.​org/​10.​1200/​JCO.​2016.​71.​7017.CrossRefPubMed
14.
Zurück zum Zitat Donnelly JP, Chen SC, Kauffman CA, Steinbach WJ, Baddley JW, Verweij PE, Clancy CJ, Wingard JR, Lockhart SR, Groll AH, et al. Revision and update of the consensus definitions of invasive fungal disease from the European organization for research and treatment of cancer and the Mycoses study group education and research consortium. Clin Infect Dis. 2020;71:1367–76. https://​doi.​org/​10.​1093/​cid/​ciz1008.CrossRefPubMed
15.
Zurück zum Zitat Bassetti M, Azoulay E, Kullberg BJ, Ruhnke M, Shoham S, Vazquez J, Giacobbe DR, Calandra T. EORTC/MSGERC definitions of invasive fungal diseases: summary of activities of the intensive care unit working group. Clin Infect Dis. 2021;72:S121–S7. https://​doi.​org/​10.​1093/​cid/​ciaa1751.CrossRefPubMed
16.
Zurück zum Zitat Boztug H, Mühlegger N, Pötschger U, Attarbaschi A, Peters C, Mann G, Dworzak M. Antibiotic prophylaxis with teicoplanin on alternate days reduces rate of viridans sepsis and febrile neutropenia in pediatric patients with acute myeloid leukemia. Ann Hematol. 2017;96:99–106. https://​doi.​org/​10.​1007/​s00277-016-2833-5.CrossRefPubMed
17.
Zurück zum Zitat R Core Team. R: a language and environment for statistical computing. Vienna: R Foundation for Statistical Computing; 2023. https://​www.​r-project.​org/​ Available online: http://​www.​r-project.​org/​.
18.
Zurück zum Zitat Döring M, Eikemeier M, Cabanillas Stanchi KM, Hartmann U, Ebinger M, Schwarze CP, Schulz A, Handgretinger R, Müller I. Antifungal prophylaxis with posaconazole vs. fluconazole or Itraconazole in pediatric patients with neutropenia. Eur J Clin Microbiol Infect Dis. 2015;34:1189–200. https://​doi.​org/​10.​1007/​s10096-015-2340-y.CrossRefPubMedPubMedCentral
19.
Zurück zum Zitat Shah A, Ganesan P, Radhakrishnan V, Kannan K, Rajendranath R, Mahajan V, Vijayakumar V, Ganesan T, Sagar TG. Voriconazole is a safe and effective anti-fungal prophylactic agent during induction therapy of acute myeloid leukemia. Indian J Med Paediatr Oncol. 2016;37:53–8. https://​doi.​org/​10.​4103/​0971-5851.​177032.CrossRefPubMedPubMedCentral
20.
Zurück zum Zitat Yeh TC, Liu HC, Hou JY, Chen KH, Huang TH, Chang CY, Liang DC. Severe infections in children with acute leukemia undergoing intensive chemotherapy can successfully be prevented by ciprofloxacin, voriconazole, or Micafungin prophylaxis. Cancer. 2014;120:1255–62. https://​doi.​org/​10.​1002/​cncr.​28524.CrossRefPubMed
21.
Zurück zum Zitat Yunus S, Pieper S, Kolve H, Goletz G, Jürgens H, Groll AH. Azole-based chemoprophylaxis of invasive fungal infections in paediatric patients with acute leukaemia: an internal audit. J Antimicrob Chemother. 2014;69:815–20. https://​doi.​org/​10.​1093/​jac/​dkt438.CrossRefPubMed
22.
Zurück zum Zitat Kolve H, Ahlke E, Fegeler W, Ritter J, Jürgens H, Groll AH. Safety, tolerance and outcome of treatment with liposomal amphotericin B in paediatric patients with cancer or undergoing haematopoietic stem cell transplantation. J Antimicrob Chemother. 2009;64:383–7. https://​doi.​org/​10.​1093/​jac/​dkp196.CrossRefPubMed
23.
Zurück zum Zitat Bochennek K, Tramsen L, Schedler N, Becker M, Klingebiel T, Groll AH, Lehrnbecher T. Liposomal amphotericin B twice weekly as antifungal prophylaxis in paediatric haematological malignancy patients. Clin Microbiol Infect. 2011;17:1868–74. https://​doi.​org/​10.​1111/​j.​1469-0691.​2011.​03483.​x.CrossRefPubMed
24.
Zurück zum Zitat Mandhaniya S, Swaroop C, Thulkar S, Vishnubhatla S, Kabra SK, Xess I, Bakhshi S. Oral voriconazole versus intravenous low dose amphotericin B for primary antifungal prophylaxis in pediatric acute leukemia induction: a prospective, randomized, clinical study. J Pediatr Hematol Oncol. 2011;33:333–41. https://​doi.​org/​10.​1097/​MPH.​0b013e3182331bc7​.CrossRef
25.
Zurück zum Zitat Döring M, Blume O, Haufe S, Hartmann U, Kimmig A, Schwarze CP, Lang P, Handgretinger R, Müller I. Comparison of Itraconazole, voriconazole, and posaconazole as oral antifungal prophylaxis in pediatric patients following allogeneic hematopoietic stem cell transplantation. Eur J Clin Microbiol Infect Dis. 2014;33:629–38. https://​doi.​org/​10.​1007/​s10096-013-1998-2.CrossRefPubMed
26.
Zurück zum Zitat Pasternak Y, Shechter N, Loebstein R, Markovits N, Gueta I, Halkin H, Yarden-Bilavsky H. Voriconazole-induced QTc prolongation in a paediatric population. Acta Paediatr. 2019;108:1128–32. https://​doi.​org/​10.​1111/​apa.​14652.CrossRefPubMed