Zum Inhalt

Eine Proof-of-concept-Studie von Isoflavandiol-E55-RS-Vaginalkapseln oder Vaginalgel zur Linderung der menopausalen Vaginalatrophie

  • Open Access
  • 19.03.2019
  • Originalien
Erschienen in:

Zusammenfassung

Ziel

Ziel dieser Studie war es, die Wirkung von Equol als Behandlungsmethode für Frauen mit vulvovaginaler Atrophie (VVA) in den Wechseljahren zu untersuchen.

Methoden

Für diese einarmige, unkontrollierte Pilotstudie wurden 51 klimakterische Frauen im Alter von 61 bis 64 Jahren rekrutiert. Sie erhielten genaue Anweisungen, wie sie entweder das 5cc-Lecithin-Basisgel oder die Vaginalkapseln mit jeweils 10 mg aktivem E55 (Equol) verwenden sollten. Equol wurde in einer veganen patentierten selbstemulgierenden Kapsel (SEDD) eingekapselt. Die Dauer der Studie betrug 120 Tage (16 Wochen). Vaginale pH-Messung und vaginale mikrobiologische Tests wurden bei jeder Kontrollvisite durchgeführt. Zusätzlich wurden die Teilnehmerinnen gebeten, einen Fragebogen auszufüllen, um die Schwere der Symptome der vaginalen Atrophie zu beurteilen.

Ergebnisse

Die Behandlung mit E55 RS (Equol) zeigte insgesamt gute Effekte und eine hohe Akzeptanz bei den Patientinnen. Symptome von VVA, wie vaginaler Juckreiz, vaginale Trockenheit und Schmerzen beim Geschlechtsverkehr, konnten verringert werden. Der mittlere vaginale pH-Wert konnte signifikant von 6,50 auf 5,65 (p < 0,05) gesenkt werden. Darüber hinaus wurde eine signifikante Verschiebung der vaginalen Epithelzellen beobachtet: Oberflächliche Zellen waren erhöht (einseitig p = 0,0000), während Parabasalzellen nach der Behandlung abgenommen hatten (einseitig p = 0,0001). Die Anwendung von E55 RS wirkte sich auch auf die vaginale Lactobacillus-spp.-Kolonisierung aus, wobei der Anteil von Frauen, die Lactobacillus-spp.-positiv waren, signifikant nach der Behandlung anstieg (p = 0,0004).

Schlussfolgerung

Die Ergebnisse dieser Studie deuten darauf hin, dass die Behandlung von menopausalen vulvovaginalen Symptomen mit Vaginalkapseln, die Equol enthalten, nicht nur effektiv und gut verträglich ist, sondern auch die Lebensqualität von Frauen in der Menopause verbessern kann.

Hinweis des Verlags

Der Verlag bleibt in Hinblick auf geografische Zuordnungen und Gebietsbezeichnungen in veröffentlichten Karten und Institutsadressen neutral.

Einleitung

Die Menopause ist durch einen verringerten Östrogenspiegel im weiblichen Körper gekennzeichnet. Aufgrund der verminderten Östrogenbildung im vulvovaginalen Gewebe können verschiedene vaginale Symptome wie Dyspareunie, vaginale Trockenheit, vaginaler Juckreiz und Libidoverlust auftreten [1, 2]. Diese Symptome können im Begriff Urogenitalsyndrom der Menopause, ehemalige vulvovaginale Atrophie (VVA; [1, 3]), zusammengefasst werden. Infolge des Östrogenmangels erhöht sich der vaginale pH-Wert auf 6–7, und es kann eine Veränderung der vaginalen Lactobacillus-Kolonisation beobachtet werden [4]. Darüber hinaus kommt es, bedingt durch den verminderten Östrogenspiegel, zu einer Verdünnung des Vaginalepithels. Zusätzlich kann eine Verschiebung der vaginalen Epithelzellen beobachtet werden. So nimmt bei menopausalen Frauen die Anzahl an superfizialen Zellen ab und parabasale Zellen nehmen zu [5]. Laut der International Menopause Society leiden bis zu 40 % der postmenopausalen Frauen an vaginalen Beschwerden. Obwohl es verschiedene wirksame Behandlungsmethoden gibt, suchen nur 25 % der Betroffenen nach Hilfe [6]. Vaginale Atrophie ist eine Erkrankung, die nicht nur bei postmenopausalen Frauen auftritt, aber die Prävalenz ist in dieser Gruppe am höchsten und tritt in den meisten Fällen 4–5 Jahre nach der Menopause auf [6]. Um den Grad von VVA als einen numerischen Wert auszudrücken, ist es möglich, den Reifungswert (MV; [7]) zu berechnen.
Da die lokale Behandlung mit hormonhaltigen Präparaten umstritten ist und viele Frauen keine Hormontherapie zur Behandlung dieser vaginalen Symptome anwenden wollen, sind andere Therapieformen erforderlich. Eine mögliche und gut akzeptierte Methode wäre die vaginale Behandlung mit Equol [8]. Equol gehört zur Familie der Isoflavone, einer Untergruppe der Phytoöstrogene, welche sekundäre Verbindungen in verschiedenen Pflanzen, wie zum Beispiel im grünen Tee oder Sojabohnen, sind. Die strukturelle Ähnlichkeit zu 17β-Östradiol ermöglicht die Interaktion dieser Verbindungen mit dem humanen Östrogenrezeptor [9]. Da Isoflavone eine hohe Affinität zu dem humanen ERβ-Rezeptor aufweisen, können sie Östrogensignalwege aktivieren. Equol ist ein Metabolit, der von der Darmflora durch Biotransformation aus Daidzein produziert wird. Aber nicht alle Menschen, die Daidzein konsumieren, können es auch in Equol umwandeln: Nur etwa ein Drittel bis die Hälfte der Bevölkerung kann Equol im Darm produzieren [10]. In mehreren Studien konnte mit der Behandlung mit Equol eine Verbesserung der postmenopausalen Zustände gezeigt werden. Zusätzlich fand Equol eine hohe Akzeptanz bei den Patientinnen und kann daher als eine gute Behandlungsmethode für Frauen in der Menopause und besonders für jene, die keine hormonellen Präparate verwenden wollen, angesehen werden [11].

Materialien und Methoden

Studiendesign

Für den Wirksamkeitsnachweis wurde eine einarmige unkontrollierte Pilotstudie durchgeführt. Hierfür wurden entweder equolenthaltende Vaginalkapseln oder equolenthaltende Vaginalgelpräparate zur Behandlung von Vaginalatrophie bei Frauen in der Menopause verabreicht. Die Dauer der Studie betrug 16 Wochen (120 Tage).

Probanden

Für die Studie wurden 69 kaukasische Frauen rekrutiert, von denen 51 die gesamte Studie abschlossen. Einschlusskriterien für die Studie waren: postmenopausale (keine Menstruation für 12 Monate, Alter über 40 Jahre mit typischen Symptomen oder follikelstimulierendes Hormon [FSH] > 40 U/l bei Patientinnen, die eine Hysterektomie hatten) und zusätzlich vaginale Trockenheit, vaginaler Juckreiz, Schmerzen beim Geschlechtsverkehr oder ein vaginaler pH-Wert > 5 beim Screening.
Teilnehmer mit systemischer oder topischer Verabreichung von Östrogenen innerhalb der letzten 8 Wochen oder mit Einnahme von Kräutern mit entsprechender Wirksamkeit auf menopausale Beschwerden innerhalb von 4 Wochen wurden von der Studie ausgeschlossen, ebenso wie jene mit Vulvadystrophie, aktueller Vaginal- oder Harnwegsinfektion und jeder Vaginaloperation innerhalb von 12 Monaten oder abnormalem Zytologiegrad ≥ 3b.

Methoden und Behandlung

Die Rekrutierung der Studienteilnehmerinnen erfolgte durch Ärzte in ausgewählten Kliniken. Potenzielle Probandinnen wurden telefonisch kontaktiert und bekamen Informationen zur Studie. Nachdem sie der Teilnahme an der Studie zugestimmt hatten, wurden sie in die Klinik eingeladen und von medizinischem Personal gescreent. Nach Einholung der Einwilligung wurde die Anamnese erhoben und ein Symptomfragebogen wurde ausgefüllt. Ein Gynäkologe führte eine körperliche Untersuchung durch. Abhängig von den Ergebnissen des Screening-Besuchs wurden alle berechtigten Personen zu einem Erstbesuch ins Krankenhaus/in die 3 medizinischen Einrichtungen (V1) eingeladen. Die Probanden wurden instruiert, wie das 5‑cc-Lecithin-Basisgel oder die Vaginalkapseln, die 10 mg aktives E55 enthielten, täglich in die Vagina eingeführt werden sollten. Die gesamte Studiendauer betrug 120 Tage (16 Wochen).
Bei jedem Besuch wurde ein Symptomfragebogen (Anhang) ausgefüllt, der vaginale pH-Wert wurde gemessen und ein mikrobiologischer Test wurde durchgeführt. Zytologische Tests wurden bei V1 und V3 durchgeführt.

Vaginalkapseln

Bei der verwendeten Kapsel handelt es sich um ein neuartiges, patentiertes selbstemulgierendes Wirkstofffreisetzungssystem (SEDD) und die erste vegane Kapsel, die sich auflöst, wenn sie nur mit geringen Mengen Vaginalflüssigkeit in Kontakt kommt.

Fragebogen

Änderungen in der Schwere der Symptome der vaginalen Atrophie wurden über einen Symptomfragebogen erhoben. Informationen wie vaginales Jucken/Jucken im Vulvabereich, vaginale Trockenheit, Schmerzen beim Geschlechtsverkehr, Symptome der Harnblase wurden abgefragt (siehe Anhang).

Statistische Analyse

Die statistische Analyse wurde mit Microsoft® Office Excel®, Stata 14.1® durchgeführt und die Ergebnisse wurden als statistisch signifikant bei einem p-Wert ≤ 0,05 betrachtet. T‑Test, Chi-Quadrat-Test und Hypothesentest wurden durchgeführt, um mögliche Zusammenhänge zwischen Daten aus den Fragebögen und Labortests und Unterschiede zwischen der Prä- und Postintervention zu untersuchen.

Ergebnisse

Demografie

Diese Studie untersuchte 69 Patientinnen (alle Kaukasier), von denen 51 (74 %) Patientinnen eingeschlossen wurden und die Studie abschlossen, 11 Patientinnen (15 %) wurden eingeschlossen und vollendeten die Studie nicht. Das Durchschnittsalter der Patientinnen, welche die Studie abgeschlossen haben, betrug 63,68 Jahre (95 %-KI 61,32; 66,04), und davon hatten 29,4 % einen normalen BMI. Darüber hinaus berichteten 70,5 %, dass sie beim Screening eine oder mehrere chronische Erkrankungen hatten. Die Daten sind in den Tab. 1 und 2 zusammengefasst.
Tab. 1
Demografische Eigenschaften der Teilnehmer der E55-RS-Studie
Status
Status (Anzahl)
Durchschnittlicher BMI
Durchschnittsalter (Jahre)
Alkoholkonsum
Nikotinkonsum
Komorbidität
Begleitende Medikation
Abgeschlossen
51
27,45
63,68
51
51
36
33
Abgebrochen
11
27,42
62,13
11
11
8
7
Gescreent
7
29,30
65,67
7
7
6
5
Gesamtsumme
69
27,63
63,63
69
69
50
45
Tab. 2
BMI und Alter von Patientinnen, die die E55-RS-Studie abgeschlossen haben
 
Beobachtet
Mittelwert
Standardfehler
95 %-Konfidenzintervall
BMI
51
32,98
1,39
30,18
35,78
Alter (Jahre)
51
63,68
1,17
61,32
66,04
Der Behandlungseffekt für jede einzelne Patientin wurde ausgewertet und vom Arzt bei Besuch 2 und Besuch 3 dokumentiert. Wie in Abb. 1 gezeigt, hatte E55 RS bei beiden Visiten eine insgesamt gute oder sehr gute Wirkung (n > 50). Die Behandlungsakzeptanz wurde von den Patientinnen bei den Visiten 2 und 3 bewertet und berichtet. Wie in Abb. 2 gezeigt, wies E55 RS eine gute oder sehr gute Akzeptanz (n > 50) auf.
Abb. 1
Übersicht des Behandlungseffekts von E55 RS
Bild vergrößern
Abb. 2
Akzeptanz der Behandlung mit E55 RS bei den Patientinnen
Bild vergrößern

Variablen von Interesse

Die Variablen von Interesse wurden für jene Patientinnen analysiert, die die Studie vom Screening bis zur Beendigung durchführten (n = 51). Diese Variablen umfassten: vaginaler pH-Wert, vaginale Epithelzellen und von der Patientin berichtete Symptome (vaginale Trockenheit, Dyspareunie/Schmerzen während des Geschlechtsverkehrs, vaginaler/vulvaler Juckreiz und Symptome der Harnblase). Die Analyse berücksichtigte die im Studienprotokoll vorgeschlagenen Hypothesen. In der Gruppe von 51 Patientinnen – die die Studie abgeschlossen hatten – fehlten keine Daten zu den Variablen von Interesse.
Einige der Gründe für den Studienabbruch waren: eigener Wille, Hautausschlag, Unzufriedenheit mit dem Produkt und akute Niereninfektion.

Vaginaler pH wurde bei jedem der drei Besuche gemessen

Diese Studie stellte die Hypothese auf, dass die Anwendung des E55 RS den vaginalen pH-Wert der Patientinnen senken würde. Ein Student-t-Test für gepaarte Proben mit 95 %-KI wurde durchgeführt, um die durchschnittlichen pH-Werte zwischen den einzelnen Besuchen zu vergleichen. In Tab. 3 werden die Ergebnisse des mittleren pH-Werts, welcher bei jedem Besuch gemessen wurde, dargestellt.
Tab. 3
Vaginaler pH und Alter der Patientinnen, die die E55-RS-Studie abschlossen haben
Studie abgeschlossen
Beobachtet
Mittelwert
Standardabweichung
Minimum
Maximum
Vaginaler pH 1
51
6,50
0,50
5,50
7,50
Vaginaler pH 2
51
5,97
0,58
5,00
7,50
Vaginaler pH 3
51
5,65
0,72
4,00
8,00
Alter (Jahre)
51
63,68
8,38
50,17
80,95
Die in Tab. 3 gezeigten Ergebnisse stützen die alternative Hypothese (Ha: Mittelwert (diff)>0), dass der vaginale pH bei der dritten Visite niedriger ist (verglichen mit der zweiten, p < 0,05, und der ersten Visite, p < 0,05; Abb. 3), der mittlere vaginale pH-Wert ist bei der zweiten Visite niedriger (im Vergleich zur ersten Visite p < 0,05).
Abb. 3
Veränderung des vaginalen pH-Werts vor und nach der Behandlung mit E55 RS
Bild vergrößern

Reifegrad (MV) und vaginale Epithelzellen

Proben des Vaginalepithels wurden bei dem ersten und zweiten Besuch entnommen und untersucht (ausführendes Labor: Synlab Pharma-Institut, Bayerstr. 53, 80335 München, Deutschland). Tab. 4 zeigt eine Zusammenfassung des Reifungswerts und der Auszählungen aller Arten von vaginalen Epithelzellen (dargestellt in %), vor und nach der Behandlung mit E55 RS. Der Reifungswert wird berechnet als: 0,0 * Parabasalzellen (%) + 0,5 * Intermediärzellen (%) + 1,0 * Superfizialzellen (%), während der Prozentsatz der Epithelzellen auf der Basis von 200 gezählten Zellen berechnet wird. Ein erhöhter Reifegrad sowie ein höherer Prozentsatz an superfizialen und intermediären Zellen kann nach der Behandlung beobachtet werden. Entsprechend war der Anteil der Parabasalzellen bei der dritten Visite geringer. Der mittlere Prozentsatz an Epithelzellen, die innerhalb der Gruppe vor und nach der Behandlung gemessen wurden, ist in Abb. 4 gezeigt.
Tab. 4
Reifegrad („maturation value“ [MV]) und Anteil der drei Arten von vaginalen Epithelzellen vor und nach Behandlung mit E55 RS
Patientinnen, die die Studie abgeschlossen haben
MVa
Epithelzellen vor Behandlungb
Epithelzellen nach Behandlung
 
MV1
MV2
Differenz M2–M1
Parabasal 1
Intermediär 1
Superfizial 1
Parabasal 2
Intermediär 2
Superfizial 2
Mittelwert
0,32
0,55
0,22
0,45
0,46
0,10
0,09
0,72
0,19
Standardfehler
0,04
0,03
0,04
0,06
0,05
0,02
0,03
0,04
0,03
Median
0,35
0,55
0,13
0,30
0,50
0,00
0,00
0,80
0,10
Modus
0,55
0,55
0,00
0,00
0,10
0,00
0,00
0,90
0,10
Standardabweichung
0,25
0,18
0,25
0,40
0,34
0,17
0,22
0,28
0,24
Stichprobenvarianz
0,06
0,03
0,06
0,16
0,12
0,03
0,05
0,08
0,06
Wölbung
−1,09
2,85
−0,68
−1,81
−1,70
10,11
9,17
0,90
4,05
Schiefe
0,27
−0,50
0,45
0,13
0,04
2,86
3,15
−1,44
2,15
Spannweite
0,95
0,95
1,13
1,00
1,00
0,90
0,95
0,95
0,95
Minimum
0,00
0,03
−0,23
0,00
0,00
0,00
0,00
0,05
0,00
Maximum
0,95
0,98
0,90
1,00
1,00
0,90
0,95
1,00
0,95
Summe
16,48
27,91
11,44
22,90
23,25
4,85
4,74
36,70
9,56
Anzahl
51
51
51
51
51
51
51
51
51
95 %-Konfidenzintervall
0,07
0,05
0,07
0,11
0,10
0,05
0,06
0,08
0,07
aMaturation value
bZusammensetzung der vaginalen Epithelzellen
Abb. 4
Mittlere Anzahl an vaginalen Epithelzellen vor und nach der Behandlung mit E55 RS (in Prozent)
Bild vergrößern
Die Studie stellte die Hypothese auf, dass die Behandlung mit E55 RS zu einer Abnahme des Anteils der Parabasalzellen und einer Zunahme der superfizialen Zellen führen kann. Da die Werte der parabasalen und superfizialen Zellen von Besuch 1 und 3 nicht normal verteilt waren (Shapiro-Wilk: parabasale Zellen prä: W 0,85651, p = 0,00002, post: W 0,53640, p = 0,00000; superfiziale Zellen prä W 0,69628, p = 0,00000 und post W 0,69952, p = 0,00000), wurde ein Sign-Test durchgeführt, um die Ergebnisse der beiden Messungen zu vergleichen. Die Ergebnisse bei beiden Zelltypen erlauben die Ablehnung der H0 (bei einem Signifikanzniveau von 0,05) für die Gleichheit des Medianunterschieds zwischen den prä und post gemessenen Prozentsätzen und folgern, dass der mediane prozentuale Anteil der vaginalen Parabasalzellen höher ist (p = 0,0001), während der mediane prozentuale Anteil der vaginalen superfizialen Zellen mit E55 RS höher ist (einseitig p = 0,0000). Die Testergebnisse sind in Tab. 4 dargestellt.

Auswertung des Symptomfragebogens; vor der Behandlung (Besuch 1), während (Besuch 2) und nach Abschluss der Behandlung (Besuch 3). Symptomliste: vaginale Trockenheit, Dyspareunie (Schmerzen beim Geschlechtsverkehr), vaginaler Juckreiz oder Juckreiz im Bereich der Vulva, Blasensymptome

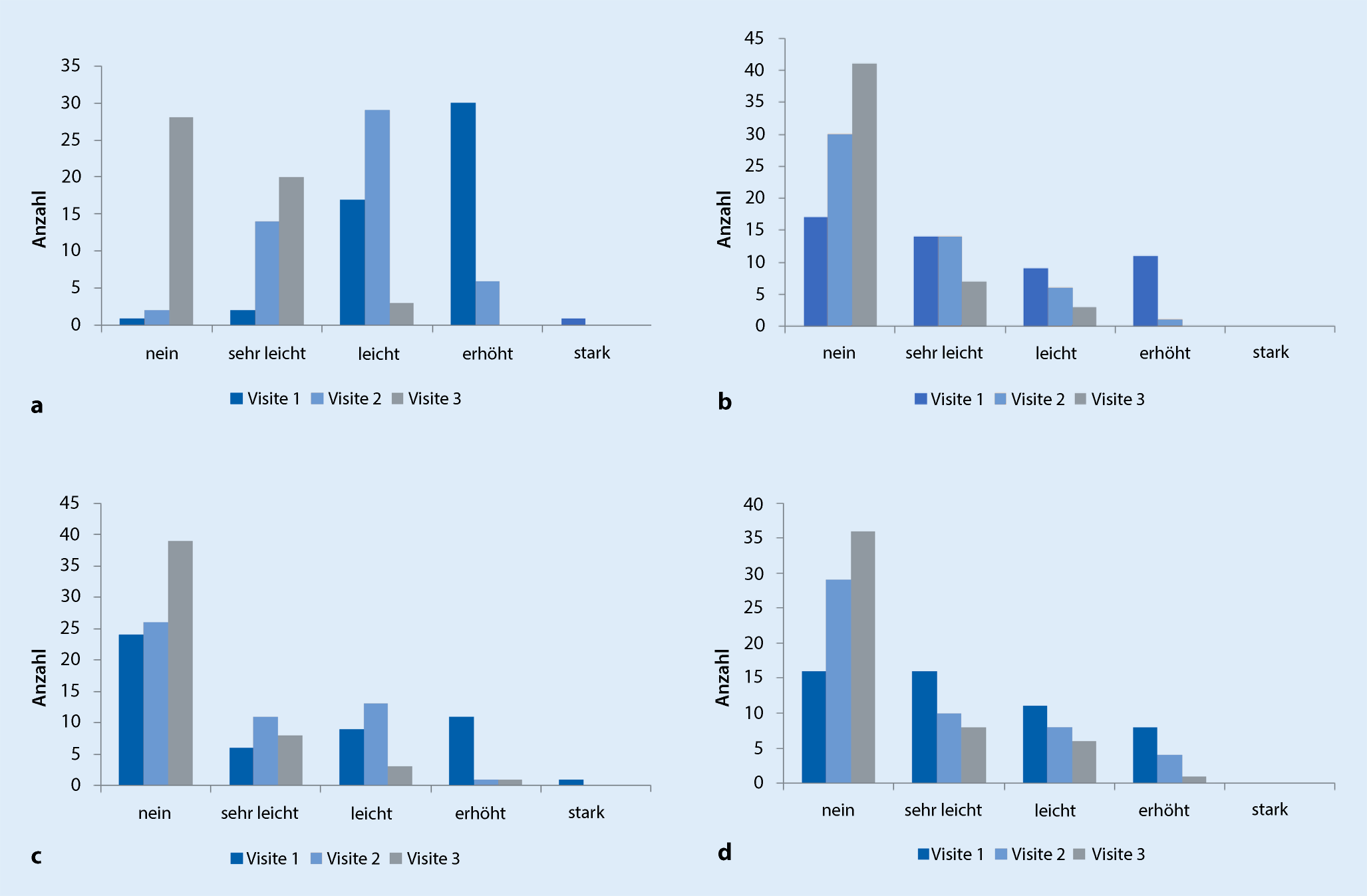
Die Patientinnen berichteten ihre Symptome über Fragebögen, die sie beim ersten, zweiten und dritten Besuch ausfüllten. Die Antworten wurden in einer 5‑Punkte-Likert-Skala geordnet, die die Schwere der Symptome in aufsteigender Reihenfolge angibt: nein (1), sehr leicht (2), leicht (3), erhöht (4), stark (5). Daten aus den Fragebögen wurden als Likert-Typ behandelt und jedes Symptom wurde separat analysiert. Eine Zusammenfassung für alle vier Symptome ist in Tab. 5 und Abb. 5 dargestellt.
Tab. 5
Von Patientinnen berichtete Symptome
 
Häufigkeit
Anteil (%)
Kumulativ
Häufigkeit
Anteil (%)
Kumulativ
Häufigkeit
Anteil (%)
Kumulativ
Vaginale Trockenheit
Visite 1
Visite 2
Visite 3
Nein
1
1,96
1,96
2
3,92
3,92
28
54,9
54,9
Sehr leicht
2
3,92
5,88
14
27,45
31,37
20
39,22
94,12
Leicht
17
33,33
39,22
29
56,86
88,24
3
5,88
100
Erhöht
30
58,82
98,04
6
11,76
100
Stark
1
1,96
100
Gesamt
51
100
51
100
51
100
Schmerz bei Geschlechtsverkehr
Visite 1
Visite 2
Visite 3
Nein
24
47,06
47,06
26
50,98
50,98
39
76,47
76,47
Sehr leicht
6
11,76
58,82
11
21,57
72,55
8
15,69
92,16
Leicht
9
17,65
76,47
13
25,49
98,04
3
5,88
98,04
Erhöht
11
21,57
98,04
1
1,96
100
1
1,96
100
Stark
1
1,96
100
Gesamt
51
100
51
100
51
100
Vaginaler Juckreiz
Visite 1
Visite 2
Visite 3
Nein
17
33,33
33,33
30
58,82
58,82
41
80,39
80,39
Sehr leicht
14
27,45
60,78
14
27,45
86,27
7
13,73
94,12
Leicht
9
17,65
78,43
6
11,76
98,04
3
5,88
100
Erhöht
11
21,57
100
1
1,96
100
Stark
Gesamt
51
100
51
100
51
100
Urinale Symptome
Visite 1
Visite 2
Visite 3
Nein
16
31,37
31,37
29
56,86
56,86
36
70,59
70,59
Sehr leicht
16
31,37
62,75
10
19,61
76,47
8
15,69
86,27
Leicht
11
21,57
84,31
8
15,69
92,16
6
11,76
98,04
Erhöht
8
15,69
100
4
7,84
100
1
1,96
100
Stark
Gesamt
51
100
51
100
51
100
Abb. 5
a Symptomfragebogen, vaginale Trockenheit, b Symptomfragebogen, vaginales Jucken, c Symptomfragebogen, Schmerzen beim Geschlechtsverkehr, d Symptomfragebogen, urinale Symptome
Bild vergrößern
Zusätzlich wurden die Daten so transformiert, dass Fragebögen, die eine negative Veränderung ausdrücken (z. B. von 5 auf 1 geändert), als „verbessert“, solche mit einer Differenz von null als „unverändert“ und solche mit positiver Veränderung (z. B. von 1 nach 4) als „verschlechtert“ vermerkt wurden. Anschließend wurden die Gruppen „unverändert“ und „verschlechtert“ in einer neuen Gruppe zusammengefasst – „nicht verbessert“. Wie in diesen Abbildungen gezeigt wird, konnte eine deutliche Verbesserung der vaginalen Trockenheit nach der Behandlung erzielt werden (98,4 %). Der Grad der Besserung der übrigen Symptome, die bei der Visite 3 verzeichnet wurden, war etwas geringer im Vergleich zum Beginn der Intervention (Besuch 1).
Die Studie stellte die Hypothese auf, dass die Behandlung mit E55 RS zu einer Verbesserung der vaginalen Trockenheit, des vaginalen Juckreizes oder der Dyspareunie (Schmerzen beim Geschlechtsverkehr) führen kann. Um zu testen, ob der Schweregrad der selbst berichteten Symptome zwischen den Visiten variiert, wurden paarweise Antworten als Ordinalskala (1 am wenigsten schwerwiegend, 5 am schwersten) unter Annahme nicht normalverteilter Daten analysiert (Shapiro-Wilk-W-Test stützte die Annahme für mehr als 60 % der Artikel). Vergleiche des berichteten Schweregrads wurden innerhalb jedes der folgenden Sets gemacht: Visite 1 und 2, Visite 2 und 3 und Visite 1 und 3. Die Ergebnisse der statistischen Tests ermöglichen die Ablehnung der Nullhypothese bei einem Signifikanzniveau von 0,05 und lassen daraus schlussfolgern, dass die Mediandifferenzen nicht gleich 0 sind. Da die Unterschiede positiv sind, kann geschlussfolgert werden, dass für alle genannten Symptome der Schweregrad bei jedem Folgebesuch verringert werden konnte.

Lactobacillus spp. in der vaginalen Mikroflora

Mikrobiologische Tests (Vaginalabstriche) wurden zu Beginn der Studie (Visite 1) und nach Abschluss der Behandlung mit E55 RS (Visite 3) durchgeführt. Die Ergebnisse sind in Tab. 6 und Abb. 6 dargestellt. Insgesamt ist der Anteil an Patientinnen, die bei Besuch 1 Lactobacillus-spp.-positiv waren 13,73 %, im Vergleich zu 86,27 %, deren vaginales Mikrobiologieergebnis negativ war. Bei Besuch 3 veränderten sich diese Anteile auf 45,1 % (3,3-mal erhöht) bzw. 54,9 % (1,57-fach verringert).
Tab. 6
Vaginaler mikrobiologischer Befund, Patientinnen mit positivem Lactobacillus-spp.-Befund vor und nach Behandlung mit E55 RS
 
Vorher
Nachher
Häufigkeit
Anteil (%)
Häufigkeit
Anteil (%)
LB
7
13,73
23
45,1
Kein LB
44
86,27
28
54,9
Gesamt
51
100
51
100
Abb. 6
Vaginale Mikrobiologie: Patientinnen mit Lactobacillus spp. (LB) vor und nach der Behandlung mit E55 RS
Bild vergrößern
Es wird keine Änderung gegenüber den Ausgangsergebnissen angenommen, d. h. die Anteile von Lactobacillus-spp.-positiven oder -negativen Proben unterschieden sich zwischen Visite 1 und Visite 3 nicht. Der paarweise Vergleich der Messungen vor und nach der Behandlung zeigte jedoch, dass 18 (35 %) der Patientinnen bei der letzten Visite eine Verbesserung dieses mikrobiologischen Kriteriums aufwiesen, während 2 (3,8 %) ein schlechteres Ergebnis hatten. Von den 31 Patientinnen, deren Status sich nicht änderte, blieben nur 5 (9,8 %) positiv für Lactobacillus spp. bei Besuch 3. Die Durchführung des McNemar-Tests (1 df), p = 0,0004, belegt, dass die Änderung des Anteils der Lactobacillus-spp.-positiven Proben, nach der Behandlung statistisch signifikant ist.

Diskussion

Die Studie zeigt, dass E55 RS eine sehr gute nichthormonelle Behandlungsvariante für menopausale Frauen mit vulvovaginaler Atrophie ist, da es drei sehr wichtige Ergebnisse erzielte: Es vermindert den vaginalen pH-Wert effizient, vaginale oberflächliche Zellen werden erhöht und die Schwere der vaginalen Trockenheit wird reduziert. Da die normale, gesunde Vaginalflora von Lactobacillus spp. dominiert wird, hat eine Veränderung ihrer Anzahl mehrere Konsequenzen. Im Falle der Menopause wird eine Reduktion des vaginalen Lactobacillus spp. beobachtet, was zu einer verminderten Pathogenabwehr und darüber hinaus zur potenziellen Entwicklung von bakterieller Vaginose führt [12]. Nach der Behandlung mit E55 RS stieg die Anzahl der Patientinnen mit vaginaler Lactobacillus-spp.-Kolonisation von 7 auf 13 Patientinnen an, was darauf hindeutet, dass Equol einen positiven Einfluss auf die bakterielle Rekolonisation hat. Andere Studien haben gezeigt, dass Lactobacillus spp. bei postmenopausalen Frauen im Vergleich zu prämenopausalen verringert ist, was auf den verringerten Östrogenspiegel zurückzuführen ist [13]. Darüber hinaus führt die postmenopausale Reduktion der Lactobacillus-spp.-Kolonisierung aufgrund der verminderten Produktion von Milchsäure zu einem Anstieg des vaginalen pH-Werts. Folglich ist der pH bei postmenopausalen Frauen erhöht (pH = 6, verglichen mit pH = 4,5 bei prämenopausalen Frauen), was zu einem höheren Risiko einer bakteriellen Infiltration der Vagina führt [12]. Die Behandlung mit E55 senkte den pH-Wert der Patientinnen signifikant. Verglichen mit anderen Studien, die mit verschiedenen Östradiolpräparaten durchgeführt wurden, konnte E55 RS eine deutlich höhere Abnahme des pH erzielen [14, 15]. Dieser Effekt wurde auch in anderen Studien mit Equolpräparaten zur VVA-Behandlung [8] dokumentiert und legt nahe, dass die Behandlung mit Equol im Vergleich zu Östradiol einen Vorteil bei der Senkung des pH-Werts hat.
Darüber hinaus konnte die Behandlung mit E55 RS eine Veränderung der vaginalen Epithelzellzusammensetzung erreichen. Da der Östrogenverlust nach der Menopause zu einer ungünstigen Veränderung der Vaginalzellen führt, indem oberflächliche Zellen vermindert sind und Parabasalzellen zunehmen, ist der beobachtete Effekt von E55 RS sehr günstig und wünschenswert. Im Vergleich zur vaginalen Östradiolapplikation konnte E55 die oberflächlichen Zellen um einen höheren Prozentsatz erhöhen und konnte auch die Anzahl der parabasalen Zellen verringern [15].
Wenn es um VVA-Symptome wie vaginale Trockenheit, vaginalen Juckreiz oder Schmerzen während des Geschlechtsverkehrs geht, könnte die Behandlung mit E55 RS den Schweregrad von allen genannten Symptomen verbessern. Da etwa 50 % der postmenopausalen Frauen an VVA leiden, ist die Behandlung dieser Symptome wichtig, um ihre Lebensqualität zu verbessern.
Die Verbesserung der Wirkung von Phytoöstrogenen auf Wechseljahresbeschwerden wurde auch in anderen Studien berichtet, und da sie das Brustkrebsrisiko nicht erhöhen, haben sie einen großen Vorteil gegenüber der Hormonersatztherapie (HRT; [11, 16, 17]). Verschiedene Studien haben gezeigt, dass die HRT, insbesondere eine Kombination aus Östrogen und Progesteron, das Risiko für Brust‑, Endometrium- und Herz-Kreislauf-Erkrankungen erhöht [1821]. Darüber hinaus ist die Phytoöstrogentherapie eine geeignete Behandlungsmethode für Frauen in der Menopause, die an Brustkrebs leiden, da der Einsatz der HRT in dieser Patientengruppe nach wie vor kontrovers diskutiert wird [22].
Eine Stärke dieser Studie ist die Verwendung von veganen selbstemulgierenden Kapseln. Insgesamt zeigte die Behandlung mit E55 RS eine sehr hohe Akzeptanz und gute Ergebnisse.

Schlussfolgerung

Die Behandlung von Symptomen der vaginalen Atrophie mit E55 RS bei postmenopausalen Frauen war insgesamt sehr gut und das Präparat wurde von den Patientinnen gut angenommen. Es kann eine Alternative für Frauen mit vaginaler Atrophie sein, die sich keiner Hormontherapie unterziehen wollen, aber besonders für Frauen mit Brustkrebs, bei denen eine HRT kontraindiziert ist.

Danksagung

Die Autoren danken der Firma System Biologie AG, Wollerau, Schweiz, für die Zurverfügungstellung des Präparats Isoflavandiol E55-RS Vaginalkapseln bzw. Vaginalgel. Ein besonderer Dank gilt Herrn Prof DDr. Huber für seine langjährige Mitarbeit im Bereich Equolforschung und für seine Mithilfe im Aufbau des Studiendesigns.

Einhaltung ethischer Richtlinien

Interessenkonflikt

L. Mayr, D. Georgiev und A. Toulev geben an, dass kein Interessenkonflikt besteht.
Alle beschriebenen Untersuchungen am Menschen wurden mit Zustimmung der zuständigen Ethik-Kommission, im Einklang mit nationalem Recht sowie gemäß der Deklaration von Helsinki von 1975 (in der aktuellen, überarbeiteten Fassung) durchgeführt. Von allen beteiligten Patienten liegt eine Einverständniserklärung vor.
Open Access. Dieser Artikel wird unter der Creative Commons Namensnennung 4.0 International Lizenz (http://​creativecommons.​org/​licenses/​by/​4.​0/​deed.​de) veröffentlicht, welche die Nutzung, Vervielfältigung, Bearbeitung, Verbreitung und Wiedergabe in jeglichem Medium und Format erlaubt, sofern Sie den/die ursprünglichen Autor(en) und die Quelle ordnungsgemäß nennen, einen Link zur Creative Commons Lizenz beifügen und angeben, ob Änderungen vorgenommen wurden.

Hinweis des Verlags

Der Verlag bleibt in Hinblick auf geografische Zuordnungen und Gebietsbezeichnungen in veröffentlichten Karten und Institutsadressen neutral.
download
DOWNLOAD
print
DRUCKEN
Titel
Eine Proof-of-concept-Studie von Isoflavandiol-E55-RS-Vaginalkapseln oder Vaginalgel zur Linderung der menopausalen Vaginalatrophie
Verfasst von
Linda Mayr, MSc
Dimitar Georgiev, MD, PhD
Dr. Albena Toulev
Publikationsdatum
19.03.2019
Verlag
Springer Vienna
Erschienen in
Gynäkologie in der Praxis / Ausgabe 1/2019
Print ISSN: 3005-0758
Elektronische ISSN: 3005-0766
DOI
https://doi.org/10.1007/s41974-019-0085-9

Anhang A

A.1. Symptom questionnaire (complete at each study visit)

Please read carefully and answer each question by checking the box that applies with „X“ (Tab. 7).
Tab. 7
Symptom Questionnaire
Symptoms
No
Very light
Light
Expressed
Strongly
Symptomatology before or after treatment with E55 Comfort & Dryness (10 mg equol)
Visit Nr. ………
Visit date:
……/……/………… (dd/mm/yyyy)
Date of treatment start:
……/……/………… (dd/mm/yyyy)
Vaginal drynessa
Pain during sexual intercourseb
Vaginal itchingc
Urinary symptomsd
aSexual intercourse without a lubricant is sore and painful (many women report „dry and uncomfortable“ rather than sore and painful which is still clinically significant). There are minimal secretions on underwear
bSex is painful, dry and sore, either during intercourse or within 10 min. There is a need to use lubricants
cThere is discomfort caused by underwear. The skin feels like „sand-paper“. Need to use a product to reduce the vaginal itching
dUrinary frequency, strong urge to urinate, incontinence

A.2. Assessment of Therapeutic Success (Doctor) (Only V2 and V3)

Very Good: □; Good: □; Sufficient: □; Not enough: □.

A.3. Adverse Effects

Is the patient complaining about adverse effects: no: □; yes: □. (please fill in below* )
Remarks* ……………………………
………………………………………
………………………………………
1.
Zurück zum Zitat Farrell EAM (2017) Genitourinary syndrome of menopause. Aust Fam Physician 46(7):481–484. https://​doi.​org/​10.​1097/​GME.​0000000000000329​ CrossRef
2.
Zurück zum Zitat Monteleone P, Mascagni G, Giannini A, Genazzani AR, Simoncini T (2018) Symptoms of menopause—Global prevalence, physiology and implications. Nat Rev Endocrinol 14(4):199–215. https://​doi.​org/​10.​1038/​nrendo.​2017.​180 CrossRefPubMed
3.
Zurück zum Zitat Repše-Fokter A, Takač I, Fokter SK (2008) Postmenopausal vaginal atrophy correlates with decreased estradiol and body mass index and does not depend on the time since menopause. Gynecol Endocrinol 24(7):399–404. https://​doi.​org/​10.​1080/​0951359080221729​0 CrossRefPubMed
4.
Zurück zum Zitat Mueck AO, Ruan X, Prasauskas V, Grob P, Ortmann O (2018) Treatment of vaginal atrophy with estriol and lactobacilli combination: a clinical review. Climacteric. https://​doi.​org/​10.​1080/​13697137.​2017.​1421923 CrossRefPubMed
5.
Zurück zum Zitat Nappi RE, Gardella B (2015) Vulvo-vaginal atrophy. In: Manag menopause 21st century solut, S 52–57 https://​doi.​org/​10.​1017/​CBO9781316091821​.​009 CrossRef
6.
Zurück zum Zitat Sturdee DW, Panay N (2010) Recommendations for the management of postmenopausal vaginal atrophy. Climacteric 13(6):509–522. https://​doi.​org/​10.​3109/​13697137.​2010.​522875 CrossRefPubMed
7.
Zurück zum Zitat Nilsson K, Risberg B, Heimer G (1995) The vaginal epithelium in the postmenopause—cytology, histology and pH as methods of assessment. Maturitas 21(1):51–56. https://​doi.​org/​10.​1016/​0378-5122(94)00863-3 CrossRefPubMed
8.
Zurück zum Zitat Caruso S, Cianci S, Fava V, Rapisarda AMC, Cutello S, Cianci A (2018) Vaginal health of postmenopausal women on nutraceutical containing equol. Menopause 25(4):1. https://​doi.​org/​10.​1097/​GME.​0000000000001061​ CrossRef
9.
Zurück zum Zitat Pilsková L, Riecanský I, Jagla F (2010) The physiological actions of isoflavone phytoestrogens. Physiol Res 59(5):651–664
10.
Zurück zum Zitat Yuan JP, Wang JH, Liu X (2007) Metabolism of dietary soy isoflavones to equol by human intestinal microflora—Implications for health. Mol Nutr Food Res 51(7):765–781. https://​doi.​org/​10.​1002/​mnfr.​200600262 CrossRefPubMed
11.
Zurück zum Zitat Davinelli S, Scapagnini G, Marzatico F, Nobile V, Ferrara N, Corbi G (2017) Influence of equol and resveratrol supplementation on health-related quality of life in menopausal women: a randomized, placebo-controlled study. Maturitas 96:77–83. https://​doi.​org/​10.​1016/​j.​maturitas.​2016.​11.​016 CrossRefPubMed
12.
Zurück zum Zitat Petricevic L, Domig KJ, Nierscher FJ et al (2013) Differences in the vaginal lactobacilli of postmenopausal women and influence of rectal lactobacilli. Climacteric 16(3):356–361. https://​doi.​org/​10.​3109/​13697137.​2012.​725788 CrossRefPubMed
13.
Zurück zum Zitat Brotman R, Shardell MGP, Fadrosh D, Chang K, Silver MVR, Burke A, Ravel JGP (2014) Association between the vaginal microbiota, menopause status and signs of vulvovaginal atrophy. Menopause 21(5):450–458. https://​doi.​org/​10.​1097/​GME.​0b013e3182a4690b​ CrossRefPubMedPubMedCentral
14.
Zurück zum Zitat Pickar JH, Amadio JM, Hill JM, Bernick BA, Mirkin S (2016) A randomized, double-blind, placebo-controlled phase 2 pilot trial evaluating a novel, vaginal softgel capsule containing solubilized estradiol. Menopause 23(5):506–510. https://​doi.​org/​10.​1097/​GME.​0000000000000592​ CrossRefPubMedPubMedCentral
15.
Zurück zum Zitat Archer DF, Kimble TD, Lin FDY, Battucci S, Sniukiene V, Liu JH (2017) A randomized, multicenter, double-blind, study to evaluate the safety and efficacy of estradiol vaginal cream 0.003 % in postmenopausal women with vaginal dryness as the most bothersome symptom. J Womens Heal. https://​doi.​org/​10.​1089/​jwh.​2017.​6515 CrossRef
16.
Zurück zum Zitat Utian WH, Jones M, Setchell KDR (2015) S‑equol: a potential nonhormonal agent for menopause-related symptom relief. J Womens Heal 24(3):200–208. https://​doi.​org/​10.​1089/​jwh.​2014.​5006 CrossRef
17.
Zurück zum Zitat Ahsan M, Mallick AK (2017) The effect of soy isoflavones on the menopause rating scale scoring in perimenopausal and postmenopausal women: a pilot study. J Clin Diagn Res 11(9):FC13–FC16. https://​doi.​org/​10.​7860/​JCDR/​2017/​26034.​10654 CrossRefPubMedPubMedCentral
18.
Zurück zum Zitat Stute P, Wildt L, Neulen J (2018) The impact of micronized progesterone on breast cancer risk: a systematic review. Climacteric 21(2):111–122. https://​doi.​org/​10.​1080/​13697137.​2017.​1421925 CrossRefPubMed
19.
Zurück zum Zitat Tavani A, La Vecchia C (1999) The adverse effects of hormone replacement therapy. Drugs Aging 14(5):347–357CrossRef
20.
Zurück zum Zitat Flesch-Janys D, Slanger T, Mutschelknauss E et al (2008) Risk of different histological types of postmenopausal breast cancer by type and regimen of menopausal hormone therapy. Int J Cancer 123(4):933–941. https://​doi.​org/​10.​1002/​ijc.​23655 CrossRefPubMed
21.
Zurück zum Zitat Shah NR, Borenstein JJ, Dubois RW (2015) Postmenopausal hormone therapy and breast cancer: a systematic review and meta-analysis. Menopause 25(8):713–724. https://​doi.​org/​10.​1097/​MCA.​0000000000000178​.​Endothelial CrossRef
22.
Zurück zum Zitat Oyarzún MFG, Castelo-Branco C (2017) Local hormone therapy for genitourinary syndrome of menopause in breast cancer patients: is it safe? Gynecol Endocrinol 33(6):418–420. https://​doi.​org/​10.​1080/​09513590.​2017.​1290076 CrossRefPubMed