Zum Inhalt

Common procedures and conditions leading to inpatient hospital admissions in adults with and without diabetes from 2015 to 2019 in Germany

A comparison of frequency, length of hospital stay and complications

  • Open Access
  • 10.02.2023
  • original article
Erschienen in:

Summary

Objective

To evaluate common surgical procedures and admission causes in inpatient cases with diabetes in Germany between 2015 and 2019 and compare them to inpatient cases without diabetes.

Methods

Based on the German diagnosis-related groups (G-DRG) statistics, regression models stratified by age groups and gender were used to calculate hospital admissions/100,000 individuals, hospital days as well as the proportion of complications and mortality in inpatient cases ≥ 40 years with or without a documented diagnosis of diabetes (type 1 or type 2).

Results

A total of 14,222,326 (21%) of all inpatient cases aged ≥ 40 years had a diagnosis of diabetes. More middle-aged females with vs. without diabetes/100,000 individuals [95% CI] were observed, most pronounced in cases aged 40–< 50 years with myocardial infarction (305 [293–319] vs. 36 [36–37], p < 0.001). Higher proportions of complications and longer hospital stays were found for all procedures and morbidities in cases with diabetes.

Conclusion

Earlier hospitalizations, longer hospital stays and more complications in inpatient cases with diabetes together with the predicted future increase in diabetes prevalence depict huge challenges for the German healthcare system. There is an urgent need for developing strategies to adequately care for patients with diabetes in hospital.

Introduction

Approximately 8 million people with documented diabetes mellitus were living in Germany in 2020, implying a type 2 diabetes (T2D) prevalence of about 9% [1]. While the estimated number of undiagnosed cases decreased from around 2 million in 1997–1999 to 1.3 million in 2008–2011 [2], it has been estimated that the population with diagnosed diabetes will to rise to 12 million in 2040 according to data from statutory health insurances [1].
This development is not restricted to Germany but is predicted for several upper income and middle income countries, estimating a prevalence of up to 25% for diabetes for some of these countries in 2030 [3]. The increase in diabetes prevalence around the world [4] together with stable or slightly increasing per capita healthcare costs in individuals with diabetes in Germany (1.7 times higher than in individuals without diabetes) [5] could lead to challenging nationwide and global healthcare costs in the upcoming decades [6, 7].
Higher healthcare costs in people with diabetes are mainly the consequence of prescribed medication from pharmacies and inpatient treatment [5] but also of outpatient treatment and indirect costs, e.g., due to reduced productivity in the work place [8]. Higher inpatient costs in patients with diabetes may be due to more frequent hospitalizations, longer hospital stays or more complications compared to people without diabetes. There are few publications reporting a high prevalence of diabetes among hospitalized cases [9] as well as frequent readmissions in people with diabetes [10] but data on admission rates (accounting for the respective reference population with and without diabetes) are scarce. Furthermore, it is less clear which procedures and diagnoses are mostly related to more frequent hospital admissions, longer hospital stays as well as higher rates of complications and mortality among individuals with type 1 diabetes (T1D) or T2D compared to those without diabetes.
The aim of this study was to compare the frequency and outcomes of inpatient hospital admissions for several high-volume procedures and diagnoses between all cases with or without diabetes from 2015 to 2019 on a nationwide basis using mandatorily documented data in Germany.

Patients, material and methods

Data source and participants

Data were obtained from the diagnosis-related groups (DRG) statistics, collected yearly by the German Federal Statistical Office (Statistisches Bundesamt, DESTATIS) since 2004. All general hospitals are required to send annual data on all inpatient services to the Institute for the Hospital Remuneration System (Institut für das Entgeltsystem im Krankenhaus, InEK). The InEK then sends a legally defined list of parameters to DESTATIS. The DRG statistics therefore include case-related data from all German hospitals based on §1 of the Hospital Remuneration Act (Krankenhausentgeltgesetz, KHEntgG) [11].
The analysis of the most recently available 5 years before the coronavirus disease 2019 (COVID-19) pandemic of the DRG statistics (source: Research Data Center, Forschungsdatenzentrum, FDZ, of the German Federal and State Statistical Offices, DRG statistics 2015–2019) was performed via controlled remote data processing. For data protection reasons, the data are structured by treatment case and not by patient: repeated admissions of the same patient can therefore not be aggregated. The analysis programs were created using SAS 9.4 (Statistical Analysis Software, SAS Institute, Cary, NC, USA) and sent to the FDZ. Results were released by the FDZ following the disclosure and clearance of the results.
All German inpatient cases from 2015–2019 aged ≥ 40 years without or with encoded T1D or T2D were included. Case identification was assessed according to ICD-10 coding as main or secondary diagnosis (E10 for T1D, E11 for T2D). Cases with other diabetes diagnoses or unclear diagnoses were excluded. Cases from other countries, engaging the healthcare service of German hospitals (n = 268,330) were excluded as well. Cases with unknown gender (n = 3376/68,670,607, representing 0.005%) were assigned to the female group which was the larger group. Figure 1 shows included and excluded cases.
Fig. 1
Included and excluded cases from the G‑DRG database in 2015–2019. T1D type 1 diabetes, T2D type 2 diabetes, No DM no diabetes, Other diabetes types gestational diabetes, pancreatic diabetes, rare types of diabetes (ICD-10 E12, E14, prediabetes)
Bild vergrößern

Relevant procedures and outcome variables

Classification of procedures and diagnoses was according to the German operations and procedures classification (Operationen- und Prozedurenschlüssel, OPS) versions and to the ICD-10-GM (German modification) versions of the respective reporting year. We decided to investigate procedures and diagnoses that are frequent in German hospitals, well defined and encompass different medical specialities to provide a broad overview of the inpatient care in Germany. Therefore, we analyzed initial hip (OPS 5‑820) and knee endoprosthis (OPS 5‑822), spine surgery (OPS 5‑83), shoulder refixations (OPS 5‑814), appendectomy (open or laparoscopic, OPS 5‑470) and cholecystectomy (OPS 5‑511) as well as acute myocardial infarction (ICD-10 I21) and stroke (ICD-10 I63). We investigated the frequency of these cases, the length of hospital stay (days), the proportion with complications (supplementary table 1 provides all ICD-10 codes that were used to define inpatient complications as primary or secondary diagnosis) and the mortality ratio between cases with and without diabetes (T1D and T2D combined).

Population reference data

For frequency analyses of procedures and diagnoses, we calculated the proportion of aggregated cases per 100,000 individuals of the respective aggregated populations from 2015–2019 (with or without diabetes). Data for the whole German population of these years were taken from DESTATIS [12].
The population with T1D was estimated from T1D prevalence estimates from the Robert Koch Institute (RKI) Diabetes Surveillance Report which used data from the German prospective diabetes patient follow-up registry (DPV), from the North Rhine-Westphalian diabetes registry [13], and total population data.
The population with T2D diabetes was estimated from total population data and T2D prevalence estimates from the Central Research Institute of Ambulatory Health Care in Germany (Zentralinstitut für die kassenärztliche Versorgung, ZI) derived from the nationwide billing data of panel doctors for 2015 [14] and the population size on 31 December 2017, which is estimated based on the 2011 census data [12].
In the prevalence estimates of the Central Institute for Statutory Health Care, all patients with the confirmed main or secondary diagnoses E11, E14 (not otherwise specified diabetes mellitus) or unclear diabetes mellitus (with different coding) in at least two quarters of the year were allocated to type 2 diabetes. These estimates based on nationwide billing data of panel doctors exclude approximately 13.9% of the population (including, but not limited to, members of private health insurances) [14].
Because of the lower numbers of DRG cases and individuals with T1D, especially in higher age groups and the fact that population data for individuals with diabetes can only be estimated and not be measured exactly, we decided to combine T1D and T2D and excluded rarer diabetes forms instead of analyzing diabetes types separately. Therefore, only cases with diabetes were compared to cases without diabetes.

Statistical analysis

For the analysis of proportions of persons with any procedure or diagnosis as well as proportions of people with a specific procedure/diagnosis, we performed unadjusted logistic regression models with diabetes (yes/no) as independent variable stratified by gender and age groups (40–< 50 years, 50–< 60 years, 60–< 70 years, 70–< 80 years, ≥ 80 years). The respective cumulative cases in 2015–2019 divided by the aggregated population for 2015–2019 (reported per 100,000 individuals) were used as dependent variable. Linear regression models were used to calculate length of hospital stay (days) and logistic regression models were performed for the proportion of hospitalized persons with a specific procedure or diagnosis with incurring complications/fatal consequences, in each case stratified by gender and age groups and with diabetes (yes/no) as independent variable. All p-values were adjusted for multiplicity using the Tukey-Kramer method. Due to the large number of cases included, significance was considered as p < 0.01. All outcomes were presented in graphs showing the calculated values per age group, stratified by gender. For better visibility, these values were connected with smoothed spline curves via SigmaPlot (Systat Software Inc, San Jose, CA, USA), Version 13.0.

Results

Study population

Between 2015 and 2019, the average annual population ≥ 40 years of age in Germany was 47,133,407 and a total of 68,670,607 inpatient cases of the same age from the DRG database were registered. Of the inpatient cases 21% (14,222,326) had T1D or T2D documented as principal or secondary diagnosis, while an estimated 15% (7,155,570) of the total German population ≥ 40 years of age had T1D or T2D. Overall, 49.5% of inpatient cases were male with median age [lower and upper quartiles] of 70 [58; 79] years, whereas 47.6% of the total population were male. The proportion of males was 54.3% in inpatient cases with diabetes with median age 75 [66; 81] years, and 57.9% of the population with diabetes were male. The number of total cases, cases for each procedure or diagnosis and population data stratified by age groups, gender, and diabetes (yes/no) are presented in Table 1.
Table 1
Total number of cases with all evaluated procedures and diagnoses, and population at risk, stratified by age group, gender and diabetes
Cases
Cases with diabetes by age group (years)
Cases without diabetes by age group (years)
40–< 50
50–< 60
60–< 70
70–< 80
≥ 80
40–< 50
50–< 60
60–< 70
70–< 80
≥ 80
All
Population (2015–2019)a
2,210,075
5,852,567
9,089,704
10,632,125
7,993,381
52,588,086
60,270,687
40,512,338
29,187,761
17,330,311
All inpatient cases
447,544
1,496,586
2,999,197
4,847,710
4,431,289
6,556,192
10,659,425
11,190,623
13,586,854
12,455,187
Hip replacement
1679
11,835
36,595
69,591
64,028
34,534
134,458
235,563
332,703
262,498
Knee replacement
1988
17,979
48,707
64,314
20,106
21,965
129,255
223,336
269,883
93,984
Spine surgery
8275
30,622
55,498
84,019
41,560
187,943
281,555
254,074
315,157
163,835
Shoulder refixation
4834
17,125
19,173
11,672
2003
84,947
172,435
111,706
56,658
9172
Appendectomy
2955
10,017
21,301
28,797
13,446
81,425
116,388
111,946
104,387
44,785
Cholecystectomy
6312
18,300
33,371
44,254
27,208
132,810
187,552
164,177
144,514
79,395
Myocardial infarction
9886
37,543
68,870
103,113
91,330
53,337
143,471
159,691
189,654
193,507
Stroke
5681
27,290
66,149
123,196
135,059
36,115
99,729
151,487
255,774
342,951
Male
Population (2015–2019)a
1,510,859
4,220,477
5,979,833
5,840,731
3,152,765
26,130,843
28,978,382
18,017,365
12,264,473
6,137,308
All inpatient cases
262,799
949,397
1,879,237
2,740,221
1,888,929
3,167,029
5,631,534
5,947,345
6,666,279
4,879,617
Hip replacement
1021
7152
19,684
30,184
20,082
18,562
67,890
99,856
116,790
75,763
Knee replacement
842
8238
21,527
27,439
7474
8738
54,951
88,244
98,280
30,383
Spine surgery
4331
18,567
31,375
41,184
16,927
86,006
149,264
126,895
128,882
56,976
Shoulder refixation
2782
11,098
12,036
6819
1138
45,698
94,999
62,090
28,703
4614
Appendectomy
1704
6324
13,756
17,578
7121
41,252
60,678
61,062
55,017
21,800
Cholecystectomy
2675
9128
18,330
25,147
13,132
46,625
71,162
67,127
67,518
35,240
Myocardial infarction
7750
29,674
51,062
67,098
45,536
43,693
116,454
119,190
122,799
95,675
Stroke
3761
19,852
45,659
71,994
55,129
21,688
68,292
97,476
136,248
125,870
Female
Population (2015–2019)a
699,216
1,632,090
3,109,871
4,791,394
4,840,616
26,457,243
31,292,305
22,494,973
16,923,288
11,193,003
All inpatient cases
184,745
547,189
1,119,960
2,107,489
2,542,360
3,389,163
5,027,891
5,243,278
6,920,575
7,575,570
Hip replacement
658
4683
16,911
39,407
43,946
15,972
66,568
135,707
215,913
186,735
Knee replacement
1146
9741
27,180
36,875
12,632
13,227
74,304
135,092
171,603
63,601
Spine surgery
3944
12,055
24,123
42,835
24,633
101,937
132,291
127,179
186,275
106,859
Shoulder refixation
2052
6027
7137
4853
865
39,249
77,436
49,616
27,955
4558
Appendectomy
1251
3693
7545
11,219
6325
40,173
55,710
50,884
49,370
22,985
Cholecystectomy
3637
9172
15,041
19,107
14,076
86,185
116,390
97,050
76,996
44,155
Myocardial infarction
2136
7869
17,808
36,015
45,794
9644
27,017
40,501
66,855
97,832
Stroke
1920
7438
20,490
51,202
79,930
14,427
31,437
54,011
119,526
217,081
a Data for the whole German population of the years 2015–2019 were taken from DESTATIS [11]. The population with T1D was based on estimations from the Robert Koch Institute (RKI) Surveillance Report12, the population with T2D was based on the estimated T2D prevalence from the Central Research Institute of Ambulatory Health Care in Germany (Zentralinstitut für die kassenärztliche Versorgung, Zi) by reference to the nationwide billing data of panel doctors for 201513

Results for any procedure or diagnosis among the whole study population

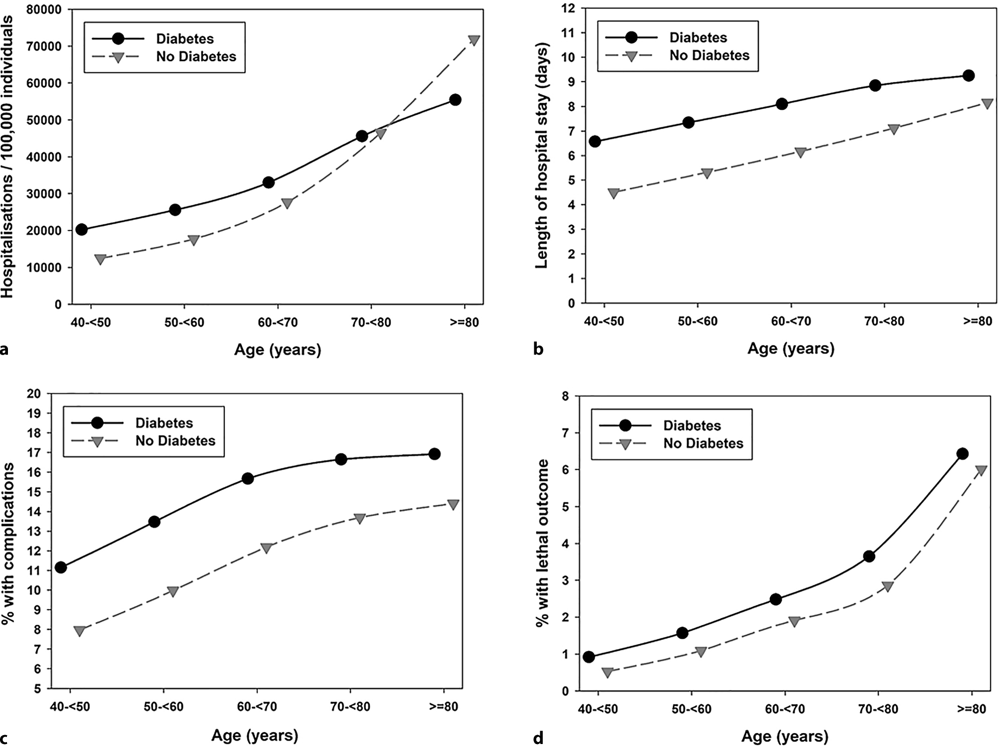
Overall, the number of aggregated inpatient cases/100,000 individuals (of the aggregated German population 2015–2019) increased with higher age for both groups with and without diabetes. The number of inpatient cases/100,000 individuals was higher in the population with diabetes vs. no diabetes for the age group 40–< 60 years, but lower in those aged ≥ 80 years. Length of hospital stay as well as the proportion with complications and the mortality rate was increased in inpatient cases with diabetes over all age groups (Fig. 2).
Fig. 2
Frequency of hospitalizations/100,000 individuals (a), length of hospital stays (b), rate of complications (c) and rate of mortality (d) among all hospitalized patients with and without diabetes in Germany from 2015 to 2019
Bild vergrößern

Results stratified for age groups and gender and for specific procedures or diagnoses

Hospitalization rates

In males, the number of cases/100,000 individuals was similar between the populations with and without diabetes for all surgeries at the age of 40–< 60 years and more frequent in the population without diabetes in higher age groups (Fig. 3b–g). Hospitalization for myocardial infarction and stroke was significantly (all p < 0.001) more frequent in males with vs. without diabetes up to the age of 80 years. Especially in the youngest age group, the proportion [95%-confidence interval] of myocardial infarction (513 [502–524] vs. 167 [166–168] cases/100,000 individuals) and stroke (249 [241–257] vs. 83 [82–84] cases/100,000 individuals) was tripled in the population with diabetes (Fig. 3h, i).
Fig. 3
Frequency of hospitalization (a) and procedures and diagnoses/100,000 individuals bi among all hospitalized men with and without diabetes in Germany from 2015 to 2019. a Frequency of hospitalization, b hip replacement, c knee replacement, d spine surgery, e shoulder refixation, f appendectomy, g cholecystectomy, h myocardial infarction, i stroke
Bild vergrößern
In females, the number of hospitalized cases/100,000 individuals in the population was significantly (all p < 0.001) higher for cases with diabetes up to the age of 60 years regarding hip replacement and shoulder refixation, until the age of 70 years regarding knee replacement, spine surgery, appendectomy and cholecystectomy, until the age of 80 years for stroke, and through all age groups for myocardial infarction. With higher age these cases were more frequent among the population without diabetes (Fig. 4b–i). The most remarkable difference with a more than 8‑fold higher admission rate in the population with diabetes was observed for myocardial infarction in females aged 40–< 50 years (305 [293–319] vs. 36 [36–37] cases/100,000 individuals), followed by stroke (275 [262–287] vs. 55 [54–55] cases/100,000 individuals, p < 0.001) and knee replacement (164 [155–174] vs. 50 [49–51] cases/100,000 individuals, p < 0.001).
Fig. 4
Frequency of hospitalization (a) and procedures and diagnoses/100,000 individuals bi among all hospitalized women with and without diabetes in Germany from 2015 to 2019. a Frequency of hospitalization, b hip replacement, c knee replacement, d spine surgery, e shoulder refixation, f appendectomy, g cholecystectomy, h myocardial infarction, i stroke
Bild vergrößern

Length of hospital stay

Length of hospital stay was significantly increased in males and females with vs. without diabetes for all hospitalized cases (supplementary figures 1A and 2A) and throughout all procedures and diagnoses analyzed (supplementary figures 1B–I and 2B–I) except shoulder refixation and knee replacement in those aged 40–< 50 years. Differences in length of hospital stay ranged from 1 to 3 additional days for most procedures and diagnoses and results were similar for males and females. Highest differences of hospital days [95% confidence interval, CI] between inpatient cases with vs. without diabetes could be observed for appendectomy (11.3 [10.7–11.9] vs. 6.3 [6.2–6.5] days in males and 10.5 [9.8–11.2] vs. 6.0 [5.9–6.1] days in females, all p < 0.001) in the age group of 40–< 50 years (supplementary figures 1F and 2F).

Complications and mortality

The proportion of complications was elevated for nearly all procedures and diagnoses in inpatient cases with versus without diabetes over all age groups in men (supplementary figure 3A–I) and women (supplementary figure 4A–I). The most remarkable differences with nearly doubled proportion of complications in inpatient cases with vs. without diabetes were observed for appendectomy in the age group of 40–< 50 years (18.0 [16.2–19.9] vs. 9.2 [9.2–9.5] % in males and 19.8 [17.7–22.1] vs. 9.6 [9.3–9.9] % in females, all p < 0.001, figures 3F and 4F) and for cholecystectomy in male inpatient cases aged 40–< 50 years (15.7 [14.3–17.1] vs. 8.5 [8.3–8.8] %, p < 0.001, Fig. 3g). Only in the age groups of 40–< 50 years were some differences for complication rates not significant, such as for males (p = 0.999) and females (p = 0.999) with knee replacement as well as hip replacement (p = 0.518), myocardial infarction (p = 0.398) and stroke (p = 0.058) in female inpatient cases. Shoulder refixation revealed no significant differences for complications between inpatient cases with and without diabetes below the age of 60 years (supplementary figures 3E and 4E).
The inpatient mortality increased with higher age for all procedures and diagnoses for inpatient cases with and without diabetes. The most prominent differences in mortality between inpatient cases with vs. without diabetes were detected at the age of 40–< 50 years for appendectomy (5.8 [4.8–7.0] vs. 1.4 [1.3–1.5] % in males and 5.9 [4.7–7.4] vs. 0.9 [0.8–1.0] % in females, all p < 0.001, Figs. 3f and 4f). The mortality in spine surgery was increased in inpatient cases with diabetes over all age groups with the highest ratio between inpatient cases with vs. without diabetes at the age of 40–< 50 years (0.85 [0.62–1.18] vs. 0.18 [0.16–0.21] % in males and 0.43 [0.27–0.69] vs. 0.12 [0.10–0.14] % in females, all p < 0.001, supplementary figures 3D and 4D). For knee replacement and shoulder refixation there were hardly any cases with fatal consequences in younger age groups and therefore we excluded the age group of 40–< 50 years from this specific analysis. Significant differences were only visible in male inpatient cases with shoulder refixation or knee replacement aged 70 years or higher (all p < 0.01) and female inpatient cases with knee replacement aged 60–< 70 years or ≥ 80 years (all p < 0.001). Similar results were observed for hip replacement where significant differences in mortality were detected only in inpatient cases aged 60 years or higher (all p < 0.001). No remarkable difference between inpatient cases with diabetes and controls could be observed for myocardial infarction and stroke, except a higher mortality in inpatient cases without diabetes aged ≥ 80 years for myocardial infarction and in female inpatient cases with stroke (supplementary figures 3H–I and 4H–I).

Discussion

This is the largest evaluation in Germany of data on frequency of hospitalization, length of hospital stays and complications in more than 14 million inpatient cases with diabetes compared to more than 54 million inpatient cases without diabetes between the years 2015 and 2019. Every fifth inpatient case aged over 40 years in Germany had a diagnosis of type 1 or type 2 diabetes. We could detect higher hospitalization rates in the population with diabetes compared to without diabetes. Higher proportion of complications as well as longer hospital stay were observed in inpatient cases with vs. without diabetes for nearly all procedures and diagnoses over all age groups. Mortality was generally higher in inpatient cases with vs. without diabetes.
Data on the frequency of initial inpatient admission rates referring to the respective population are scarce; however, higher hospital readmission rates in people with diabetes have been reported previously [10]. The risks for revision of hip endoprosthesis [15] as well as readmission because of cardiac diagnoses [16, 17] have particularly been mentioned in the literature. More frequent hospital admissions in individuals with diabetes have been reported for appendectomy [18] but not for cholecystectomy [19]. We found a higher hospitalization rate for nearly all procedures and diagnoses in females aged 40 up to 70 years (magnitude depending on the procedure). In males these findings were restricted to myocardial infarction and stroke. We are not aware of previous studies reporting such gender differences regarding hospitalization for surgery; however, it is known that male individuals are diagnosed with diabetes earlier than females [20] leading to a higher prevalence of diabetes in middle-aged men than women, but the impact of diabetes on mortality is stronger in females [21]. As we analyzed case-related data, we could not ascertain whether the differences in hospitalization rates between females with and without diabetes were mainly because of a higher risk for inpatient admission in general or due to readmissions of some individuals, except for hip and knee replacements where revisions are separately encoded (hip: OPS 5‑821, knee: OPS 5‑823). It is assumed that readmissions are one of the reasons for higher hospitalization rates of people with diabetes concerning myocardial infarction and stroke. Diabetes was considered as risk factor for readmission 30 days after myocardial infarction [17] and as a possible risk factor for readmissions after stroke according to a systematic review but data were too heterogeneous to provide clear evidence [16]. We assume that both risk for initial hospital admissions and readmissions are responsible for the higher number of inpatient cases/100,000 individuals in the population with diabetes, especially in females. Additionally, there seems to be a shift towards earlier orthopedic surgery in the population with diabetes. The higher frequency of orthopedic procedures in individuals without diabetes in higher age groups could therefore be due to the fact that the surgery was already conducted in earlier ages in people with diabetes. Furthermore, the admission rate for individuals with diabetes might be still underestimated, because of undiagnosed inpatient cases of diabetes. A survey to estimate the prevalence of T2D among patients aged ≥ 55 years in German hospitals found a proportion of 9.5% of individuals with unrecognized T2D at admission [22]. Another study reported a rate of 4% with undiagnosed diabetes in hospitalized patients aged 50 years or older [23]. It must be kept in mind that in many hospitalizations for diabetes, the diagnosis of diabetes might not be documented, especially because in the German payment system (DRG), diabetes yields no high return compared to other diagnoses. Furthermore, we used billing data of panel doctors, which excludes about 14% of the population (especially from private health insurances) to estimate the proportion with T2D of the entire population, but the DRG statistics cover the whole German population. Consequently, the real prevalent population with type 2 diabetes may differ slightly, which, in turn may have led to a misjudgement of the proportion of inpatient cases among patients with diabetes. Furthermore, it must be assumed that the prevalence of T2D has increased since 2011 which would have led to an underestimation of the actual T2D population in the years 2015–2019. Considering all these limitations, the total admission rate must be interpreted with caution, but the shift towards younger ages and the gender differences in individuals with diabetes remains as all these limitations should be equipollent in all subgroups. Especially the lower rate of surgery in men with diabetes needs to be observed in future as it might depict a possible undertreatment among this group.
Data from the United Kingdom (UK) Arthroplasty Pain Experience (APEX) trials were similar to our results on length of hospital stay in knee and hip replacements with about 1 day longer stays in individuals with diabetes; however, the overall length of hospital stay was nearly doubled in our cohort and the differences in hospital days in the APEX study vanished after adjustment for further comorbidities [24]. This might suggest that longer hospital stays in inpatient cases with diabetes might be a consequence of the combination of diabetes itself and diabetes-associated long-term complications and comorbidity. In addition, hospital acquired complications were markedly higher in diabetes patients, which also accounts for longer hospital stays. It is further known that in Germany hospital stays are generally longer than in most other European countries [25], which can be partly explained by the German healthcare system that provides three times more hospital beds than the UK [26] (7.9 vs. 2.4 per 1000 inhabitants). In addition, diabetes treatment initiated and adjusted during a hospital stay for a surgical procedure may add to the excess length of hospitalization in cases with diabetes. Spine surgery was mentioned in a previous review to be associated with longer hospital stays, more complications, higher mortality and higher risk for readmissions in individuals with diabetes [27], which is in line with our results. Another study found that the length of stay is highly dependent on glycemic control. The authors reported a difference of up to 5 days in hospital stay between people with uncontrolled diabetes and individuals without diabetes, but only 1 day difference in patients with controlled diabetes [28]. These are important results suggesting that the risk for longer hospital stays in people with diabetes might be markedly reducible by improving glycemic control. We found especially high differences in the length of hospital stays for appendectomy comparing cases with and without diabetes aged 40–< 60 years. Longer hospital stay for appendectomy was previously mentioned for individuals with diabetes [29, 30] and in people with preoperative fasting blood glucose levels of ≥ 123 mg/dl [31]. Length of hospital stay and healthcare costs were lower in patients with diabetes for laparoscopic appendectomy compared to open appendectomy according to a study from Taiwan. The authors proposed that laparoscopic appendectomy should be used particularly in individuals with diabetes to reduce the risk for longer hospital stay and healthcare costs [32]. Our results depict that this might be especially important in middle-aged people (40–< 50 years) with diabetes, where length of stay and the proportion of complications were nearly doubled compared to cases without diabetes.
It must be kept in mind that especially in the younger age groups other factors besides the diabetes itself might contribute to the higher number of orthopedic surgeries and the longer hospital stay. Obesity and reduced physical activity could be both underlying reasons for premature type 2 diabetes and risk factors for orthopedic surgery as well as for longer hospital stay, but the extent is still discussed in the literature [3335].
We detected higher mortality rates in cases with diabetes compared to without diabetes for most procedures. Appendectomy, cholecystectomy and spine surgery were procedures with increased mortality in patients with diabetes over all age groups. In terms of appendectomy and cholecystectomy, this is in line with previous studies [36, 37], while data on mortality in cases with diabetes undergoing spine surgeries are controversial [38, 39]. Our results indicate that spine surgery in individuals with diabetes should get high attention in hospitals, because despite the overall low mortality rate in this procedure, inpatient cases with diabetes showed an up to 4‑fold higher risk for fatal outcome compared to inpatient cases without diabetes. For hip and knee endoprostheses as well as shoulder surgery, our findings are quite congruent to the literature concerning complications in diabetes patients. Infections, the risk for revision of endoprosthesis or tendon re-tearing at the shoulder joint, are often reported [4043]. Publications on mortality are scarce for these procedures, which might be due to the overall low mortality associated with these surgeries. We found higher mortality in cases with diabetes for hip and knee replacements and for shoulder refixation but only above the age of 70 years.
The strength of this study was the coverage of all inpatient cases between 2015 and 2019 in Germany irrespective of their insurance status, providing a representative picture of the actual hospitalizations and complications for inpatient cases with and without diabetes. Limitations were that the DRG data are only case-related and therefore no information on the patient level was obtainable. Additionally, it must be mentioned that the cases are based on billing data which could have influenced the coding of diagnoses and the classification of diabetes types to some extent. For this reason, we decided to combine type 1 and type 2 diabetes and exclude other rarer diabetes types. In addition, we cannot exclude that some cases may have had unrecognized diabetes. The results for hospital admissions/100,000 individuals must further be interpreted with caution as the prevalence of T1D and T2D is only an estimation based on data from previous years, while data on the whole German population are assumed to be relatively precise. Therefore, we concentrated on remarkable differences in hospitalization rates and age distribution. Furthermore, due to the structure of case-related billing data with restricted variable content, additional information on the diabetes disease, such as duration of disease, glycemic control, diabetes-related comorbidities and medication could not be analyzed. The same applies to relevant patient characteristics, namely social background, educational status and ethnicity.
The longer hospital stays as well as higher proportion of complications and mortality in patients with compared to those without diabetes clearly indicate that inpatient care of these patients must be intensified, especially in departments not specialized for the treatment of diabetes. Therefore, trained consultant diabetes specialists are desirable in hospitals. Furthermore, higher hospitalization rates in younger patients with diabetes especially for orthopedic surgery point at an increased disease burden in patients with diabetes. Lower hospitalization rates for orthopedic procedures in patients with diabetes in the high age groups might indicated that surgical treatment in these high-risk patients is avoided.
As the prevalence of diabetes is likely to increase in the next decades and individuals with diabetes need surgery earlier, have longer hospital stays, more complications and higher mortality than the general population, these results depict a challenging future for the German healthcare system. People living with diabetes requiring surgery represent a vulnerable group, and sufficient personnel trained in diabetes care is required in all hospitals. In addition, it is important to lower the rate of unrecognized diabetes by screening prior to hospital admission, to enable adequate medical care. Despite the fact that hospitalization rates and length of stay differ between healthcare systems, our results should be transferable to many middle income and high income countries.

Acknowledgements

We would like to thank Andreas Hungele (ZIBMT, Institute of Epidemiology and Medical Biometry, Ulm University) and Janina Loske (Research Data Center of the German Federal Statistical Office, DESTATIS) for their support.

Funding

This study was supported through the German Federal Ministry for Education and Research within the German Center for Diabetes Research (DZD, 82DZD14E03). Further financial support was received from the German Robert Koch Institute (RKI), the German Diabetes Association (DDG) and the University of Tübingen.

Conflict of interest

A.J. Eckert, A. Fritsche, A. Icks, E. Siegel, A.S. Mueller-Stierlin, W. Karges, J. Rosenbauer, M. Auzanneau and R.W. Holl declare that they have no competing interests.
Open Access This article is licensed under a Creative Commons Attribution 4.0 International License, which permits use, sharing, adaptation, distribution and reproduction in any medium or format, as long as you give appropriate credit to the original author(s) and the source, provide a link to the Creative Commons licence, and indicate if changes were made. The images or other third party material in this article are included in the article’s Creative Commons licence, unless indicated otherwise in a credit line to the material. If material is not included in the article’s Creative Commons licence and your intended use is not permitted by statutory regulation or exceeds the permitted use, you will need to obtain permission directly from the copyright holder. To view a copy of this licence, visit http://​creativecommons.​org/​licenses/​by/​4.​0/​.

Publisher’s Note

Springer Nature remains neutral with regard to jurisdictional claims in published maps and institutional affiliations.

Unsere Produktempfehlungen

Abo für kostenpflichtige Inhalte

download
DOWNLOAD
print
DRUCKEN
Titel
Common procedures and conditions leading to inpatient hospital admissions in adults with and without diabetes from 2015 to 2019 in Germany
A comparison of frequency, length of hospital stay and complications
Verfasst von
Alexander J. Eckert
Prof. Dr. Andreas Fritsche
Prof. Dr. Andrea Icks
Prof. Dr. Erhard Siegel
Dr. Annabel S. Mueller-Stierlin
Prof. Dr. Wolfram Karges
Dr. Joachim Rosenbauer
Marie Auzanneau
Prof. Dr. Reinhard W. Holl
Publikationsdatum
10.02.2023
Verlag
Springer Vienna
Erschienen in
Wiener klinische Wochenschrift / Ausgabe 13-14/2023
Print ISSN: 0043-5325
Elektronische ISSN: 1613-7671
DOI
https://doi.org/10.1007/s00508-023-02153-z
1.
Zurück zum Zitat Tönnies T, Rathmann W. Epidemiologie des Diabetes in Deutschland. In: Deutsche Diabetes Gesellschaft (DDG) und diabetesDE, editor. Deutscher Gesundheitsbericht, Diabetes 2021. 2020. pp. 10–8.
2.
Zurück zum Zitat Heidemann C, Du Y, Paprott R, Haftenberger M, Rathmann W, Scheidt-Nave C. Temporal changes in the prevalence of diagnosed diabetes, undiagnosed diabetes and prediabetes: findings from the German health interview and examination surveys in 1997–1999 and 2008–2011. Diabet Med. 2015;33(10):1406–14.CrossRefPubMed
3.
Zurück zum Zitat Ampofo AG, Boateng EB. Beyond 2020: modelling obesity and diabetes prevalence. Diabetes Res Clin Pract. 2020;167:108362.CrossRefPubMed
4.
Zurück zum Zitat Koye DN, Magliano DJ, Nelson RG, Pavkov ME. The global epidemiology of diabetes and kidney disease. Adv Chronic Kidney Dis. 2018;25(2):121–32.CrossRefPubMed
5.
Zurück zum Zitat Jacobs E, Hoyer A, Brinks R, Icks A, Kuss O, Rathmann W. Healthcare costs of type 2 diabetes in Germany. Diabet Med. 2017;34(6):855–61. https://​doi.​org/​10.​1111/​dme.​13336.CrossRefPubMed
6.
Zurück zum Zitat Bommer C, Heesemann E, Sagalova V, et al. The global economic burden of diabetes in adults aged 20–79 years: a cost-of-illness study. Lancet Diabetes Endocrinol. 2017;5(6):423–30. https://​doi.​org/​10.​1016/​S2213-8587(17)30097-9.CrossRefPubMed
7.
Zurück zum Zitat Bommer C, Sagalova V, Heesemann E, et al. Global economic burden of diabetes in adults: projections from 2015 to 2030. Diabetes Care. 2018;41(5):963–70. https://​doi.​org/​10.​2337/​dc17-1962.CrossRefPubMed
8.
Zurück zum Zitat American Diabetes Association. Economic costs of diabetes in the U.S. in 2017. Diabetes Care. 2018;41(5):917–28. https://​doi.​org/​10.​2337/​dci18-0007.CrossRefPubMedCentral
9.
Zurück zum Zitat Auzanneau M, Fritsche A, Icks A, et al. Diabetes in the hospital—a nationwide analysis of all hospitalized cases in germany with and without diabetes, 2015–2017. Dtsch Arztebl Int. 2021; https://​doi.​org/​10.​3238/​arztebl.​m2021.​0151.CrossRefPubMedPubMedCentral
10.
Zurück zum Zitat Rubin DJ. Hospital readmission of patients with diabetes. Curr Diab Rep. 2015;15(4):17–17. https://​doi.​org/​10.​1007/​s11892-015-0584-7.CrossRefPubMed
12.
Zurück zum Zitat Statistisches Bundesamt. Deutschland, Stichtag, Altersjahre, Nationalität, Geschlecht. 2021. https://​www-genesis.​destatis.​de/​genesis/​online. Accessed 16 Sept 2021.
13.
Zurück zum Zitat Rosenbauer J, Neu A, Rothe U, Seufert J, Holl RW. Types of diabetes are not limited to age groups: type 1 diabetes in adults and type 2 diabetes in children and adolescents. 2019. https://​doi.​org/​10.​25646/​5987.
14.
Zurück zum Zitat Goffrier B, Schulz M, Bätzing-Feigenbaum J, Autor K, Goffrier B. Administrative Prävalenzen und Inzidenzen des Diabetes mellitus von 2009 bis 2015. VA-79-Bericht_Final. 2017. https://​doi.​org/​10.​20364/​VA-17.​03.CrossRef
15.
Zurück zum Zitat Pedersen AB, Mehnert F, Johnsen SP, Sorensen HT. Risk of revision of a total hip replacement in patients with diabetes mellitus: a population-based follow up study. J Bone Joint Surg Br. 2010;92(7):929–34. https://​doi.​org/​10.​1302/​0301-620X.​92B7.​24461.CrossRefPubMed
16.
Zurück zum Zitat Lichtman JH, Leifheit-Limson EC, Jones SB, et al. Predictors of hospital readmission after stroke: a systematic review. Stroke. 2010;41(11):2525–33. https://​doi.​org/​10.​1161/​STROKEAHA.​110.​599159.CrossRefPubMedPubMedCentral
17.
Zurück zum Zitat Dunlay SM, Weston SA, Killian JM, Bell MR, Jaffe AS, Roger VL. Thirty-day rehospitalizations after acute myocardial infarction: a cohort study. Ann Intern Med. 2012;157(1):11–8. https://​doi.​org/​10.​7326/​0003-4819-157-1-201207030-00004.CrossRefPubMedPubMedCentral
18.
Zurück zum Zitat Tsai MC, Lin HC, Lee CZ. Diabetes increases the risk of an appendectomy in patients with antibiotic treatment of noncomplicated appendicitis. Am J Surg. 2017;214(1):24–8.CrossRefPubMed
19.
Zurück zum Zitat Bodmer M, Brauchli YB, Jick SS, Meier CR. Diabetes mellitus and the risk of cholecystectomy. Dig Liver Dis. 2011;43(9):742–7. https://​doi.​org/​10.​1016/​j.​dld.​2011.​04.​014.CrossRefPubMed
20.
Zurück zum Zitat Jacobs E, Rathmann W, Tonnies T, et al. Age at diagnosis of type 2 diabetes in Germany: a nationwide analysis based on claims data from 69 million people. Diabet Med. 2020;37(10):1723–7. https://​doi.​org/​10.​1111/​dme.​14100.CrossRefPubMed
21.
Zurück zum Zitat Wright AK, Kontopantelis E, Emsley R, et al. Life expectancy and cause-specific mortality in type 2 diabetes: a population-based cohort study quantifying relationships in ethnic subgroups. Diabetes Care. 2017;40(3):338–45. https://​doi.​org/​10.​2337/​dc16-1616.CrossRefPubMed
22.
Zurück zum Zitat Muller-Wieland D, Merkel M, Hamann A, et al. Survey to estimate the prevalence of type 2 diabetes mellitus in hospital patients in Germany by systematic HbA1c measurement upon admission. Int J Clin Pract. 2018;72(12):e13273. https://​doi.​org/​10.​1111/​ijcp.​13273.CrossRefPubMed
23.
Zurück zum Zitat Kufeldt J, Kovarova M, Adolph M, et al. Prevalence and distribution of diabetes mellitus in a maximum care hospital: urgent need for HbA1c-screening. Exp Clin Endocrinol Diabetes. 2018;126(2):123–9. https://​doi.​org/​10.​1055/​s-0043-112653.CrossRefPubMed
24.
Zurück zum Zitat Lenguerrand E, Beswick AD, Whitehouse MR, Wylde V, Blom AW. Outcomes following hip and knee replacement in diabetic versus nondiabetic patients and well versus poorly controlled diabetic patients: a prospective cohort study. Acta Orthop. 2018;89(4):399–405. https://​doi.​org/​10.​1080/​17453674.​2018.​1473327.CrossRefPubMedPubMedCentral
26.
Zurück zum Zitat Organisation for Economic Co-operation and Development, (OECD). OECD data. hospital beds. https://​data.​oecd.​org/​healtheqt/​hospital-beds.​htm. Accessed 9 Sept 2021.
27.
Zurück zum Zitat Epstein NE. Predominantly negative impact of diabetes on spinal surgery: a review and recommendation for better preoperative screening. Surg Neurol Int. 2017;8:107. https://​doi.​org/​10.​4103/​sni.​sni_​101_​17.CrossRefPubMedPubMedCentral
28.
Zurück zum Zitat Guzman JZ, Skovrlj B, Shin J, et al. The impact of diabetes mellitus on patients undergoing degenerative cervical spine surgery. Spine. 2014;39(20):1656–65. https://​doi.​org/​10.​1097/​BRS.​0000000000000498​.CrossRefPubMedPubMedCentral
29.
Zurück zum Zitat Elsamna ST, Hasan S, Shapiro ME, Merchant AM. Factors contributing to extended hospital length of stay in emergency general surgery(dagger). J Invest Surg. 2020; https://​doi.​org/​10.​1080/​08941939.​2020.​1805829.CrossRefPubMed
30.
Zurück zum Zitat Sivrikoz E, Karamanos E, Beale E, Teixeira P, Inaba K, Demetriades D. The effect of diabetes on outcomes following emergency appendectomy in patients without comorbidities: a propensity score-matched analysis of national surgical quality improvement program database. Am J Surg. 2015;209(1):206–11. https://​doi.​org/​10.​1016/​j.​amjsurg.​2014.​03.​015.CrossRefPubMed
31.
Zurück zum Zitat Chiang HY, Lin KR, Hsiao YL, et al. Association between preoperative blood glucose level and hospital length of stay for patients undergoing appendectomy or laparoscopic cholecystectomy. Diabetes Care. 2021;44(1):107–15. https://​doi.​org/​10.​2337/​dc19-0963.CrossRefPubMed
32.
Zurück zum Zitat Yeh CC, Hsieh CH, Liao CC, Su LT, Wang YC, Li TC. Diabetes mellitus and cerebrovascular disease as independent determinants for increased hospital costs and length of stay in open appendectomy in comparison with laparoscopic appendectomy: a nationwide cohort study. Am Surg. 2012;78(3):329–34.CrossRefPubMed
33.
Zurück zum Zitat Hauck K, Hollingsworth B. The impact of severe obesity on hospital length of stay. Med Care. 2010;48(4):335–40. https://​doi.​org/​10.​1097/​MLR.​0b013e3181ca3d85​.CrossRefPubMed
34.
Zurück zum Zitat Chen H, Li S, Ruan T, Liu L, Fang L. Is it necessary to perform prehabilitation exercise for patients undergoing total knee arthroplasty: meta-analysis of randomized controlled trials. Phys Sportsmed. 2018;46(1):36–43. https://​doi.​org/​10.​1080/​00913847.​2018.​1403274.CrossRefPubMed
35.
Zurück zum Zitat Tornese D, Robustelli A, Ricci G, Rancoita PMV, Maffulli N, Peretti GM. Predictors of postoperative hospital length of stay after total knee arthroplasty. Singapore Med J. 2021; https://​doi.​org/​10.​11622/​smedj.​2021142.CrossRefPubMed
36.
Zurück zum Zitat Andersson MN, Andersson RE. Causes of short-term mortality after appendectomy: a population-based case-controlled study. Ann Surg. 2011;254(1):103–7. https://​doi.​org/​10.​1097/​SLA.​0b013e31821ad9c4​.CrossRefPubMed
37.
Zurück zum Zitat Karamanos E, Sivrikoz E, Beale E, Chan L, Inaba K, Demetriades D. Effect of diabetes on outcomes in patients undergoing emergent cholecystectomy for acute cholecystitis. World J Surg. 2013;37(10):2257–64. https://​doi.​org/​10.​1007/​s00268-013-2086-6.CrossRefPubMed
38.
Zurück zum Zitat Pumberger M, Chiu YL, Ma Y, Girardi FP, Vougioukas V, Memtsoudis SG. Perioperative mortality after lumbar spinal fusion surgery: an analysis of epidemiology and risk factors. Eur Spine J. 2012;21(8):1633–9. https://​doi.​org/​10.​1007/​s00586-012-2298-8.CrossRefPubMedPubMedCentral
39.
Zurück zum Zitat Salmenkivi J, Sund R, Paavola M, Ruuth I, Malmivaara A. Mortality caused by surgery for degenerative lumbar spine. Spine. 2017;42(14):1080–7. https://​doi.​org/​10.​1097/​BRS.​0000000000002188​.CrossRefPubMed
40.
Zurück zum Zitat Gu A, Wei C, Robinson HN, et al. Postoperative complications and impact of diabetes mellitus severity on revision total knee arthroplasty. J Knee Surg. 2020;33(3):228–34. https://​doi.​org/​10.​1055/​s-0038-1677542.CrossRefPubMed
41.
Zurück zum Zitat Tsang ST, Gaston P. Adverse peri-operative outcomes following elective total hip replacement in diabetes mellitus: a systematic review and meta-analysis of cohort studies. Bone Joint J. 2013;95(11):1474–9. https://​doi.​org/​10.​1302/​0301-620X.​95B11.​31716.CrossRefPubMed
42.
Zurück zum Zitat Borton Z, Shivji F, Simeen S, et al. Diabetic patients are almost twice as likely to experience complications from arthroscopic rotator cuff repair. Shoulder Elbow. 2020;12(2):109–13. https://​doi.​org/​10.​1177/​1758573219831691​.CrossRefPubMed
43.
Zurück zum Zitat Hong CK, Chang CJ, Kuan FC, et al. Patients with diabetes mellitus have a higher risk of tendon retear after arthroscopic rotator cuff repair: a meta-analysis. Orthop J Sports Med. 2020;8(11):2325967120961406. https://​doi.​org/​10.​1177/​2325967120961406​.CrossRefPubMedPubMedCentral